Официальное опубликование правовых актов
ОФИЦИАЛЬНОЕ ОПУБЛИКОВАНИЕ
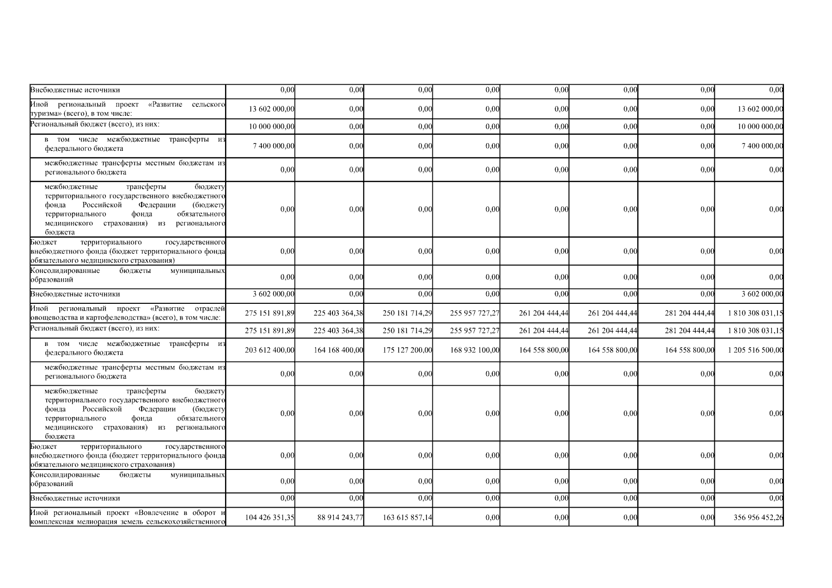
Постановление Правительства Липецкой области от 22.01.2026 № 15
"О внесении изменений в постановление Правительства Липецкой области от 8 декабря 2023 года № 701 "Об утверждении государственной программы Липецкой области "Развитие сельского хозяйства и регулирование рынков сельскохозяйственной продукции, сырья и продовольствия Липецкой области"
Номер опубликования: 4800202601220001
Дата опубликования: 22.01.2026
Страница №28 из 32:
Увеличить