Официальное опубликование правовых актов
ОФИЦИАЛЬНОЕ ОПУБЛИКОВАНИЕ
Постановление Липецкого областного Совета депутатов от 11.12.2025 № 2033-пс
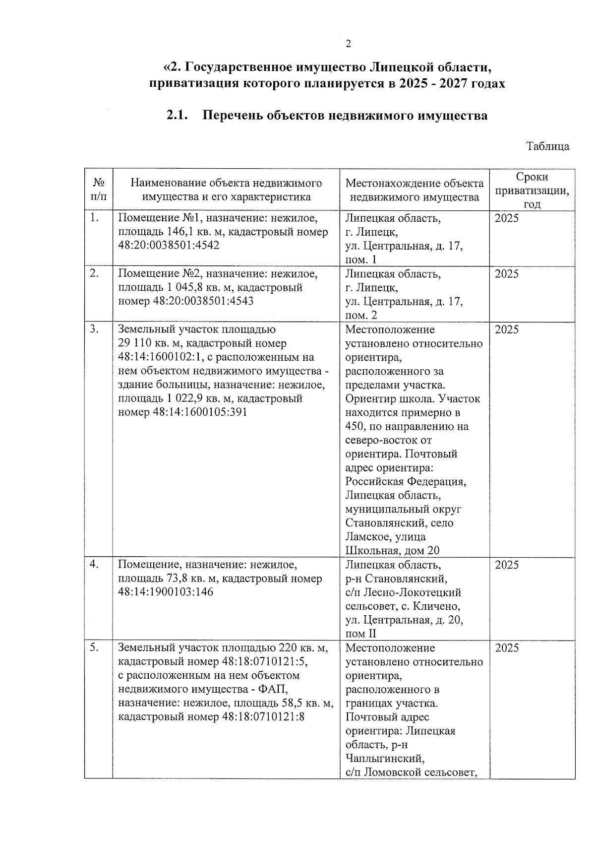
"О внесении изменений в постановление Липецкого областного Совета депутатов "О прогнозном плане (программе) приватизации государственного имущества Липецкой области на 2025 — 2027 годы"
Номер опубликования: 4800202512120003
Дата опубликования: 12.12.2025
Страница №2 из 20:
Увеличить