Официальное опубликование правовых актов
ОФИЦИАЛЬНОЕ ОПУБЛИКОВАНИЕ
Постановление Правительства Липецкой области от 29.09.2025 № 489
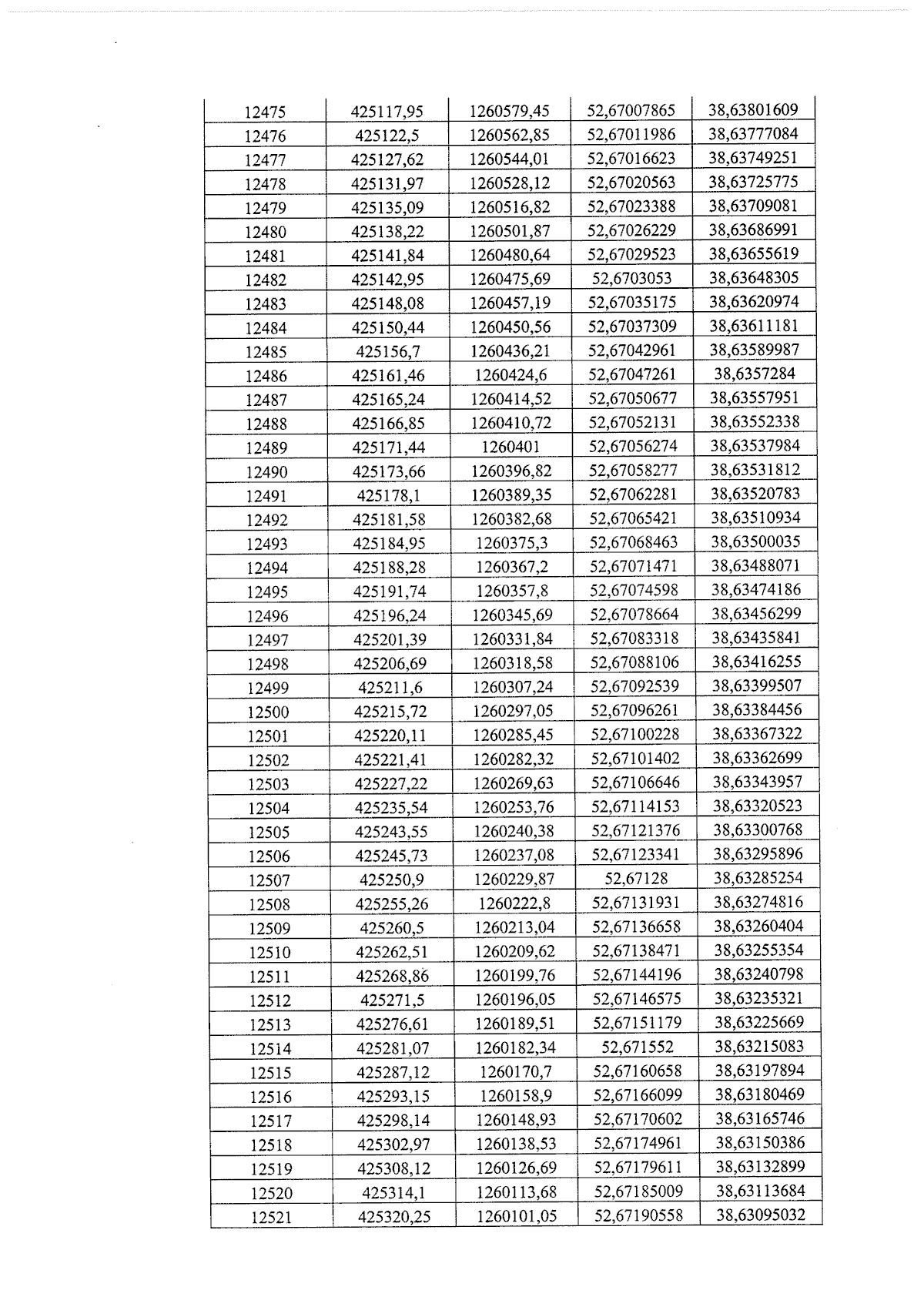
"Об установлении местоположения береговой линии (границы водного объекта), границы водоохранных зон и границы прибрежных защитных полос реки Пальна (Паленка)"
Номер опубликования: 4800202510010003
Дата опубликования: 01.10.2025
Страница №955 из 1206:
Увеличить