Официальное опубликование правовых актов
ОФИЦИАЛЬНОЕ ОПУБЛИКОВАНИЕ
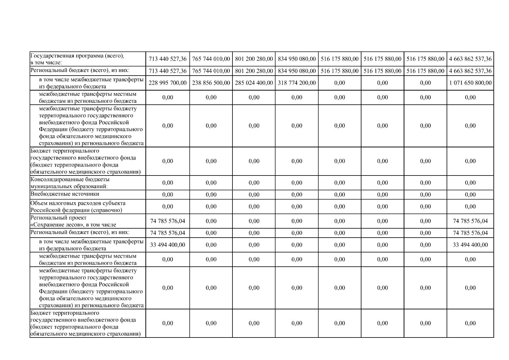
Постановление Правительства Липецкой области от 15.01.2025 № 27
"О внесении изменений в постановление Правительства Липецкой области от 7 декабря 2023 года № 694 "Об утверждении государственной программы Липецкой области "Развитие лесного хозяйства в Липецкой области"
Номер опубликования: 4800202501200009
Дата опубликования: 20.01.2025
Страница №7 из 10:
Увеличить