Официальное опубликование правовых актов
ОФИЦИАЛЬНОЕ ОПУБЛИКОВАНИЕ
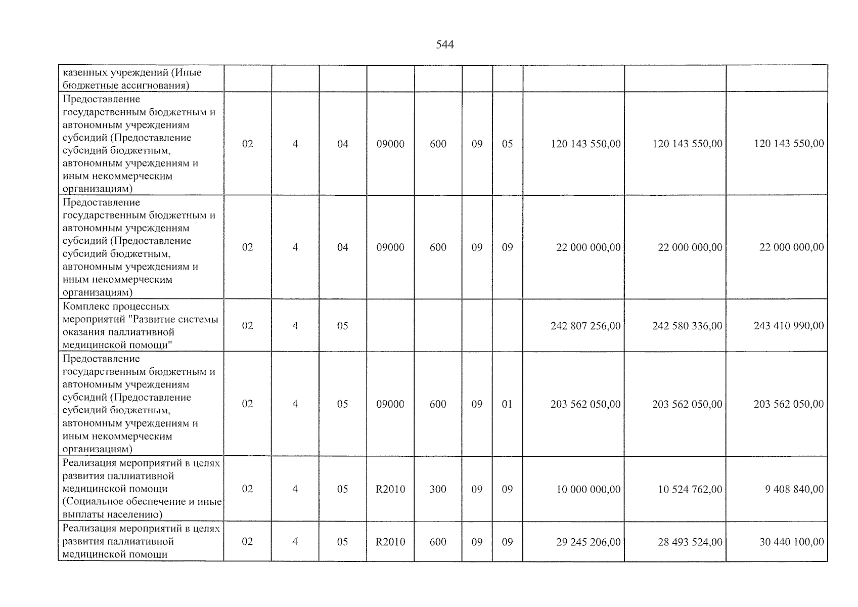
Закон Липецкой области от 19.12.2024 № 580-ОЗ
"Об областном бюджете на 2025 год и на плановый период 2026 и 2027 годов"
Номер опубликования: 4800202412240022
Дата опубликования: 24.12.2024
Страница №544 из 981:
Увеличить