Официальное опубликование правовых актов
ОФИЦИАЛЬНОЕ ОПУБЛИКОВАНИЕ
Приказ Управления имущественных и земельных отношений Липецкой области от 16.11.2016 № 79
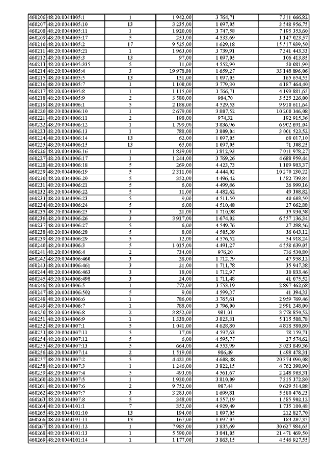
"Об утверждении результатов определения кадастровой стоимости земельных участков в составе земель населенных пунктов на территории Липецкой области, средних удельных показателей кадастровой стоимости земель населенных пунктов по видам разрешенного использования для кадастровых кварталов населенных пунктов на территории Липецкой области, среднего уровня кадастровой стоимости земель населенных пунктов по видам разрешенного использования для населенных пунктов, муниципальных районов, городских округов на территории Липецкой области"
Номер опубликования: 4800201611280002
Дата опубликования: 28.11.2016
Страница №7193 из 8203:
Увеличить