Официальное опубликование правовых актов
ОФИЦИАЛЬНОЕ ОПУБЛИКОВАНИЕ
Постановление Администрации муниципального образования Сосновоборский городской округ Ленинградской области от 29.09.2017 № 2191
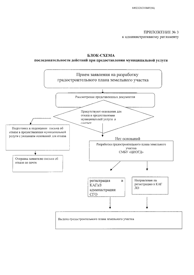
"Об утверждении административного регламента администрации Сосновоборского городского округа по предоставлению муниципальной услуги "Выдача градостроительных планов земельных участков" (тестовое опубликование)
Номер опубликования: 4702201710020004
Дата опубликования: 02.10.2017
Страница №21 из 26:
Увеличить