Официальное опубликование правовых актов
ОФИЦИАЛЬНОЕ ОПУБЛИКОВАНИЕ
Приказ Комитета по сохранению культурного наследия Ленинградской области от 27.02.2026 № 01-03/26-35
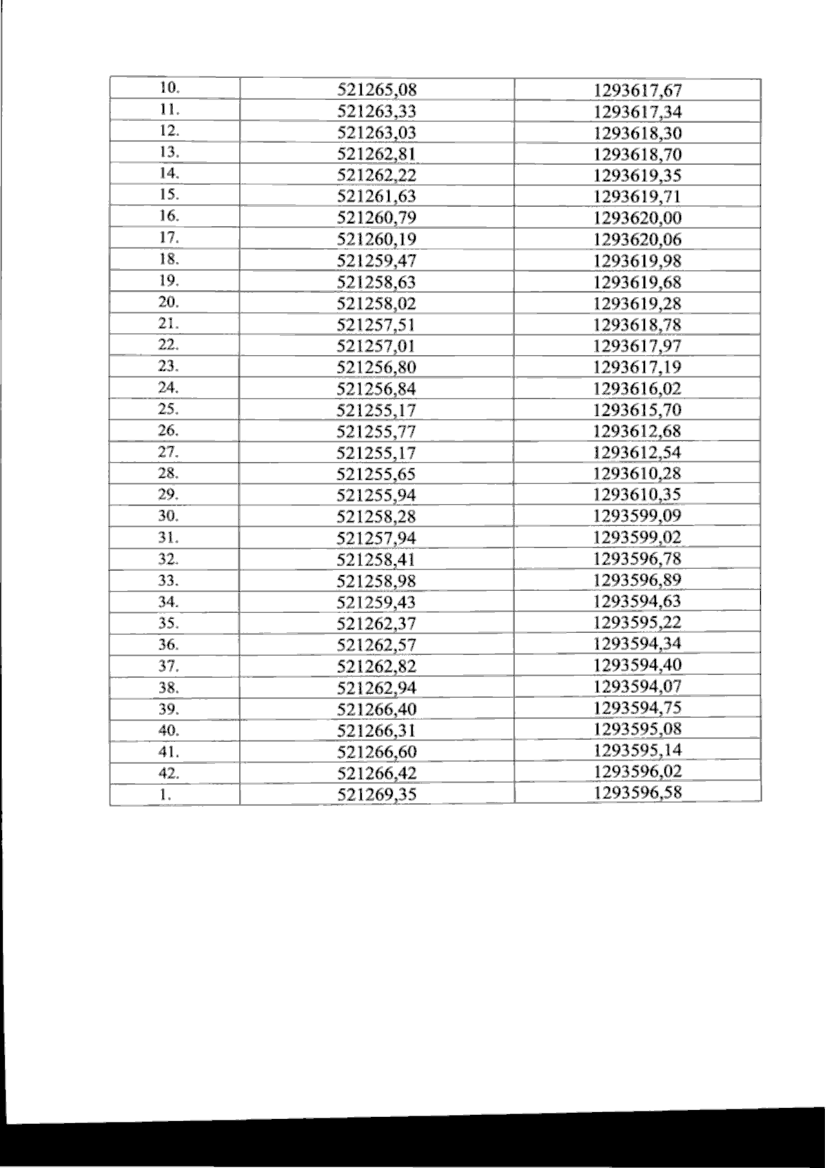
"О включении выявленного объекта культурного наследия "Никольская церковь", расположенного по адресу: Ленинградская область, Выборгский район, город Выборг, улица Данилова, дом 15, в единый государственный реестр объектов культурного наследия (памятников истории и культуры) народов Российской Федерации в качестве объекта культурного наследия регионального значения, утверждении границ территории и установлении предмета охраны"
(Зарегистрирован 27.02.2026 № КСКН-2026/01-35)
Номер опубликования: 4701202603060001
Дата опубликования: 06.03.2026
Страница №6 из 12:
Увеличить