Официальное опубликование правовых актов
ОФИЦИАЛЬНОЕ ОПУБЛИКОВАНИЕ
Приказ Комитета по сохранению культурного наследия Ленинградской области от 15.01.2026 № 01-03/26-06
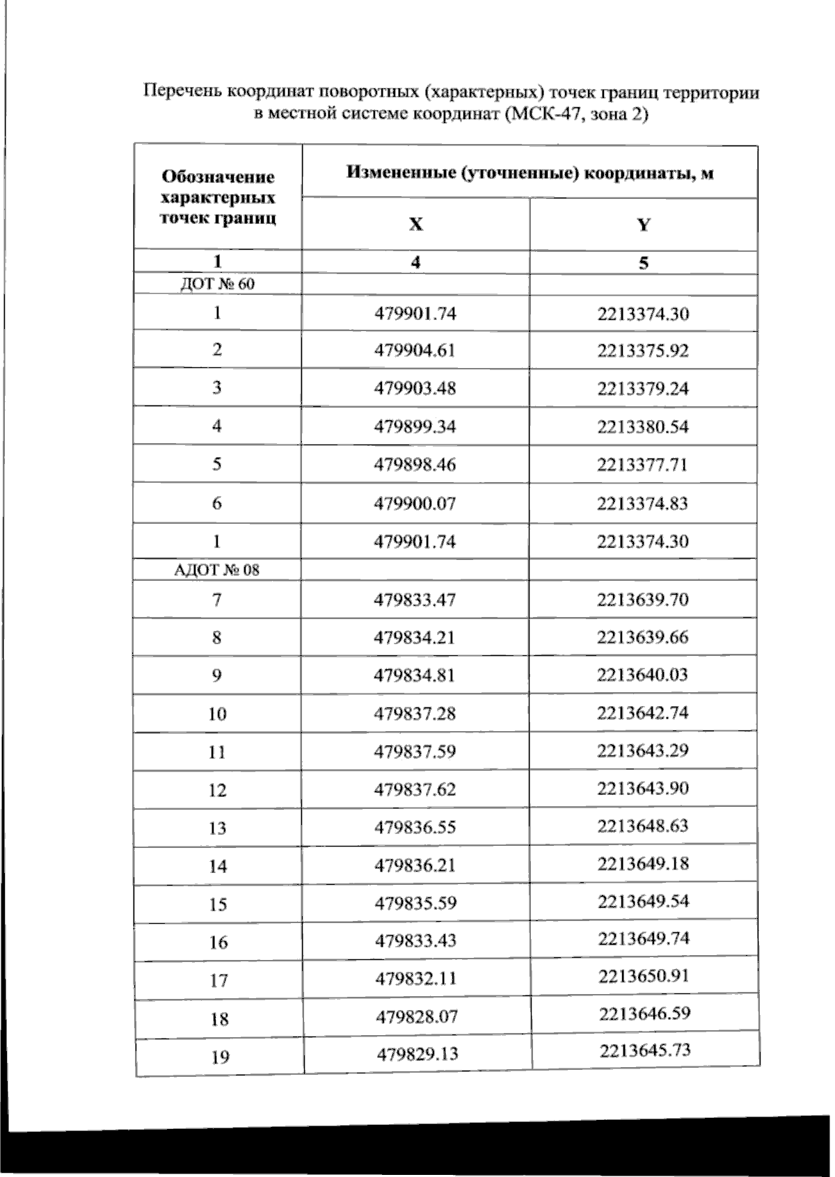
"О внесении изменений в приказ комитета по сохранению объектов культурного наследия Ленинградской области №01-03/22-151 от 29.07.2022 "О включении объекта культурного наследия "Карельский укрепленный район. Лемболовский батальонный район обороны. Комплекс фортификационных сооружений в составе огневых точек: ДОТ № 60, ДОТ № 603, АДОТ № 08, АДОТ № 09", 1929,1931,1941 годы, адрес (местонахождение): Ленинградская область, Всеволожский район, Куйвозовское сельское поселение, массив Лемболовская Твердыня, сооружение 4; Ленинградская область, Всеволожский район, Куйвозовское сельское поселение, территория Автодорога Санкт-Петербург - Сортавала, сооружения 1, 2,3, в единый государственный реестр объектов культурного наследия (памятников истории и культуры) народов Российской Федерации в качестве объекта культурного наследия регионального значения, утверждении границ его территории и предмета охраны"
(Зарегистрирован 15.01.2026 № КСКН-2026/01-06)
Номер опубликования: 4701202601220006
Дата опубликования: 22.01.2026
Страница №7 из 11:
Увеличить