Официальное опубликование правовых актов
ОФИЦИАЛЬНОЕ ОПУБЛИКОВАНИЕ
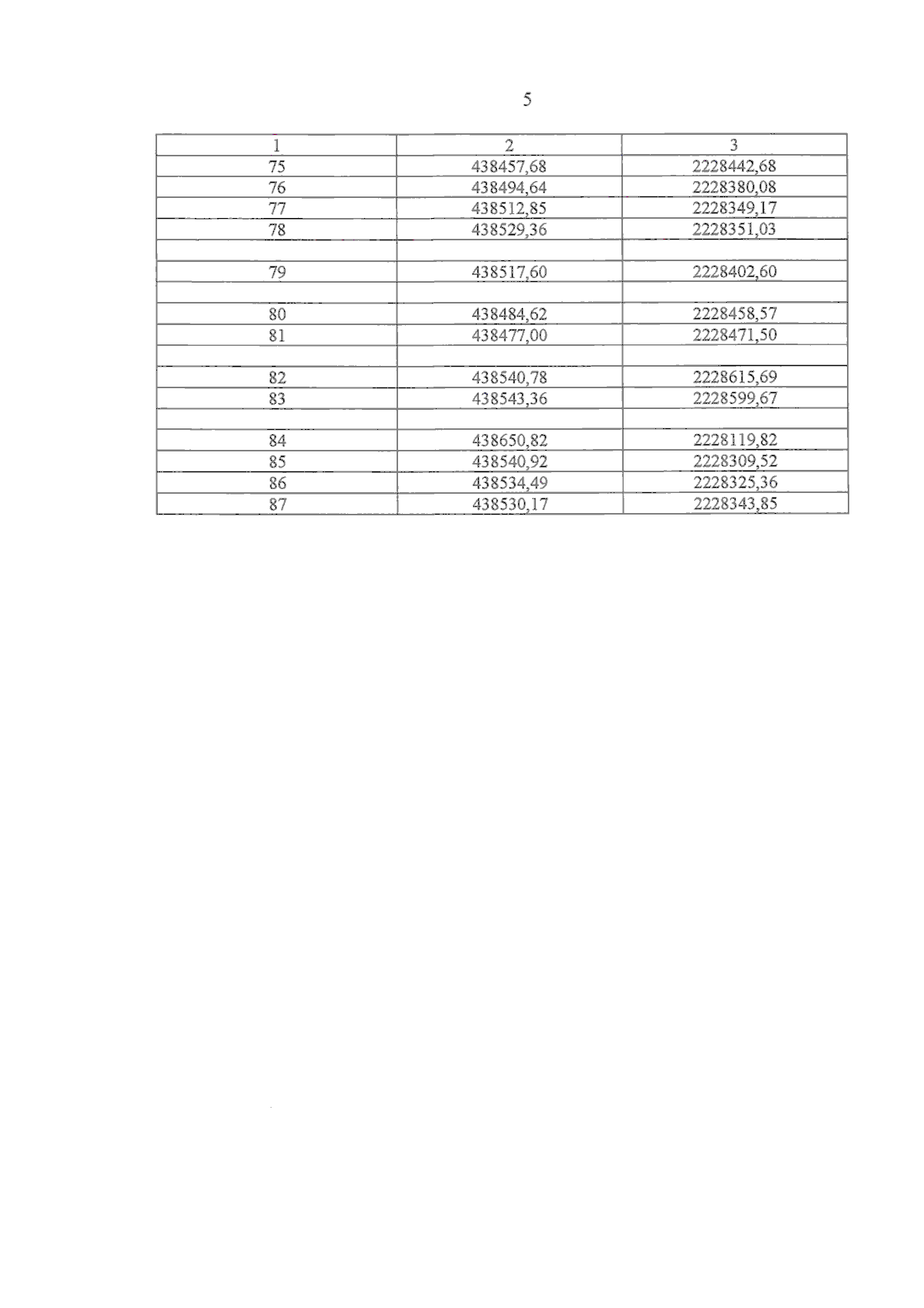
Приказ Комитета градостроительной политики Ленинградской области от 26.12.2025 № 162
"Об утверждении проекта планировки территории и проекта межевания территории Янино-Аэродром, расположенной в Заневском городском поселении Всеволожского муниципального района Ленинградской области"
(Зарегистрирован 26.12.2025 № 01-06-162/2025)
Номер опубликования: 4701202512310005
Дата опубликования: 31.12.2025
Страница №7 из 58:
Увеличить