Официальное опубликование правовых актов
ОФИЦИАЛЬНОЕ ОПУБЛИКОВАНИЕ
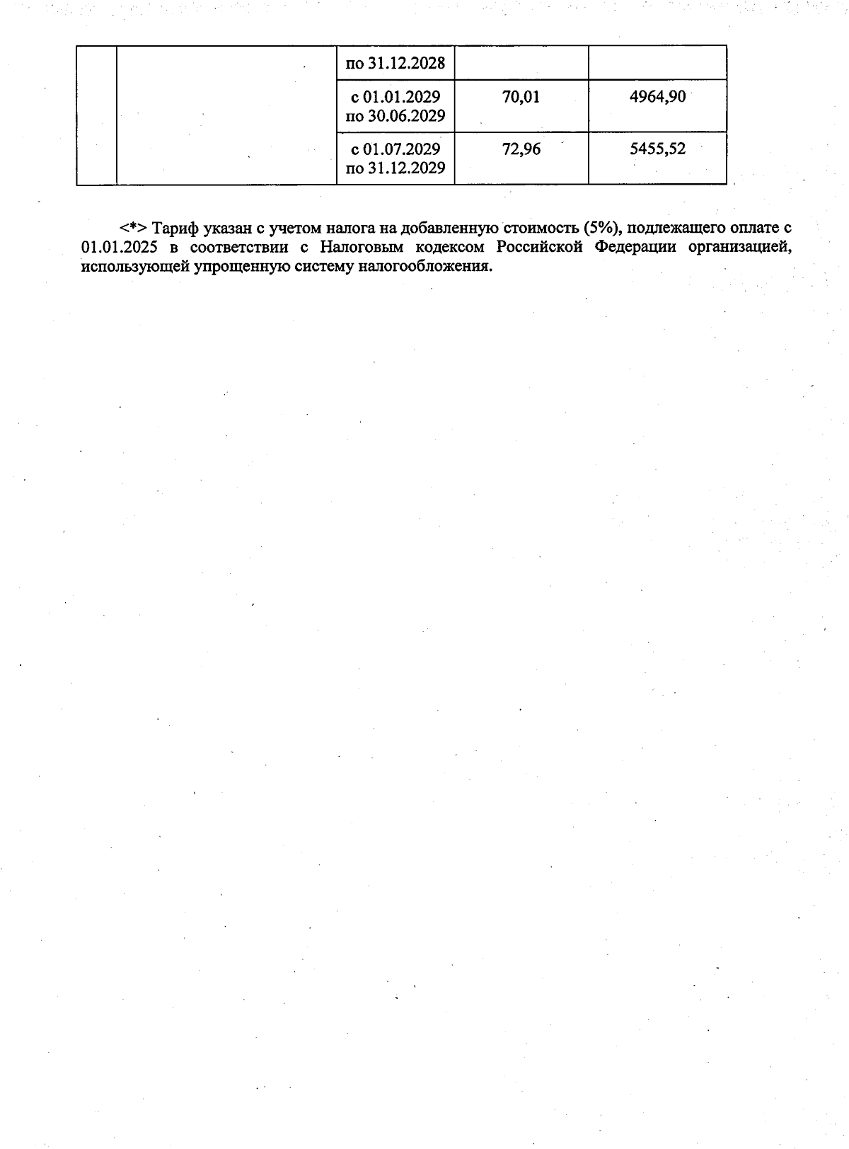
Приказ Комитета по тарифам и ценовой политике Ленинградской области от 19.12.2025 № 513-п
"О внесении изменений в приказ комитета по тарифам и ценовой политике Ленинградской области от 20 декабря 2024 года № 487-п "Об установлении долгосрочных параметров регулирования деятельности, тарифов на тепловую энергию и горячую воду, поставляемые муниципальным унитарным предприятием "Ефимовские тепловые сети" потребителям на территории Ленинградской области, на долгосрочный период регулирования 2025-2029 годов"
(Зарегистрирован 19.12.2025 № 513-п)
Номер опубликования: 4701202512260054
Дата опубликования: 26.12.2025
Страница №5 из 5:
Увеличить