Официальное опубликование правовых актов
ОФИЦИАЛЬНОЕ ОПУБЛИКОВАНИЕ
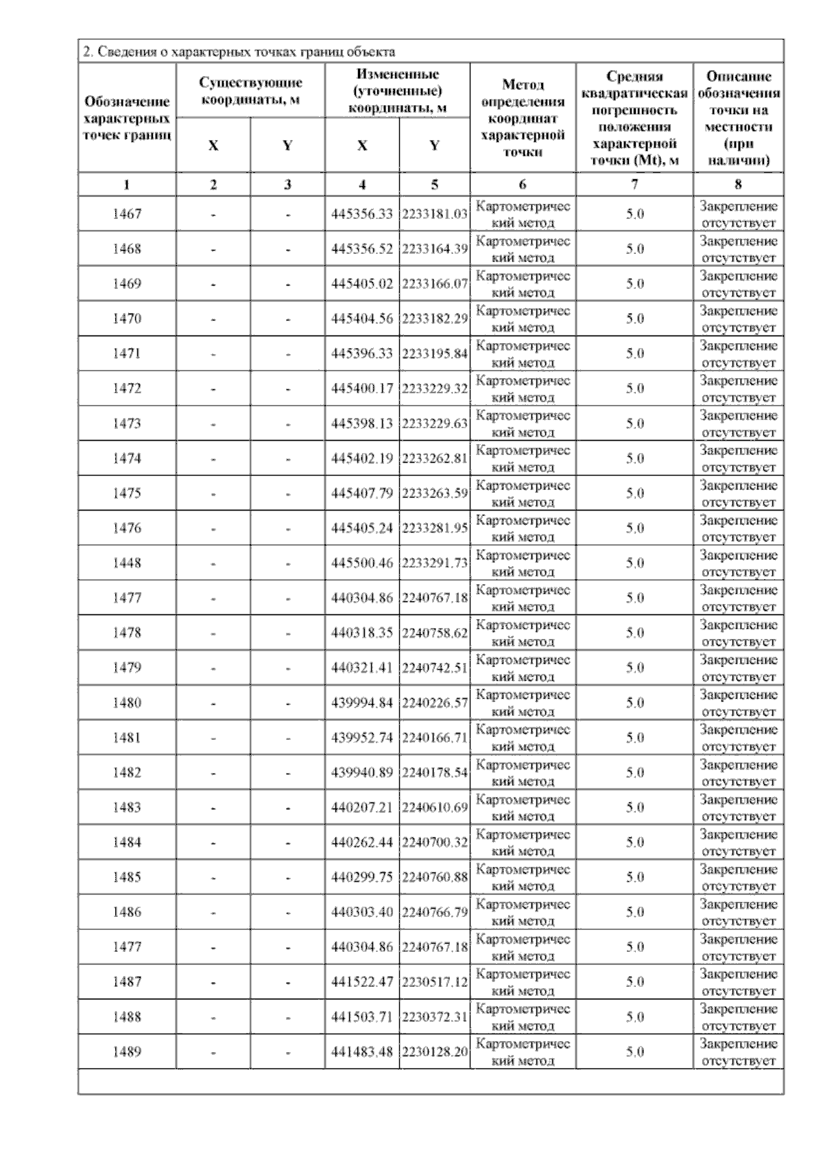
Приказ Комитета градостроительной политики Ленинградской области от 16.09.2025 № 100
"О внесении изменений в правила землепользования и застройки муниципального образования "Город Всеволожск" Всеволожского муниципального района Ленинградской области"
(Зарегистрирован 16.09.2025 № 01-06-100/2025)
Номер опубликования: 4701202509230002
Дата опубликования: 23.09.2025
Страница №78 из 141:
Увеличить