Официальное опубликование правовых актов
ОФИЦИАЛЬНОЕ ОПУБЛИКОВАНИЕ
Приказ Комитета градостроительной политики Ленинградской области от 12.09.2025 № 98
"Об утверждении правил землепользования и застройки муниципального образования Вындиноостровское сельское поселение Волховского муниципального района Ленинградской области применительно к части территории поселения"
(Зарегистрирован 12.09.2025 № 01-06-98/2025)
Номер опубликования: 4701202509180002
Дата опубликования: 18.09.2025
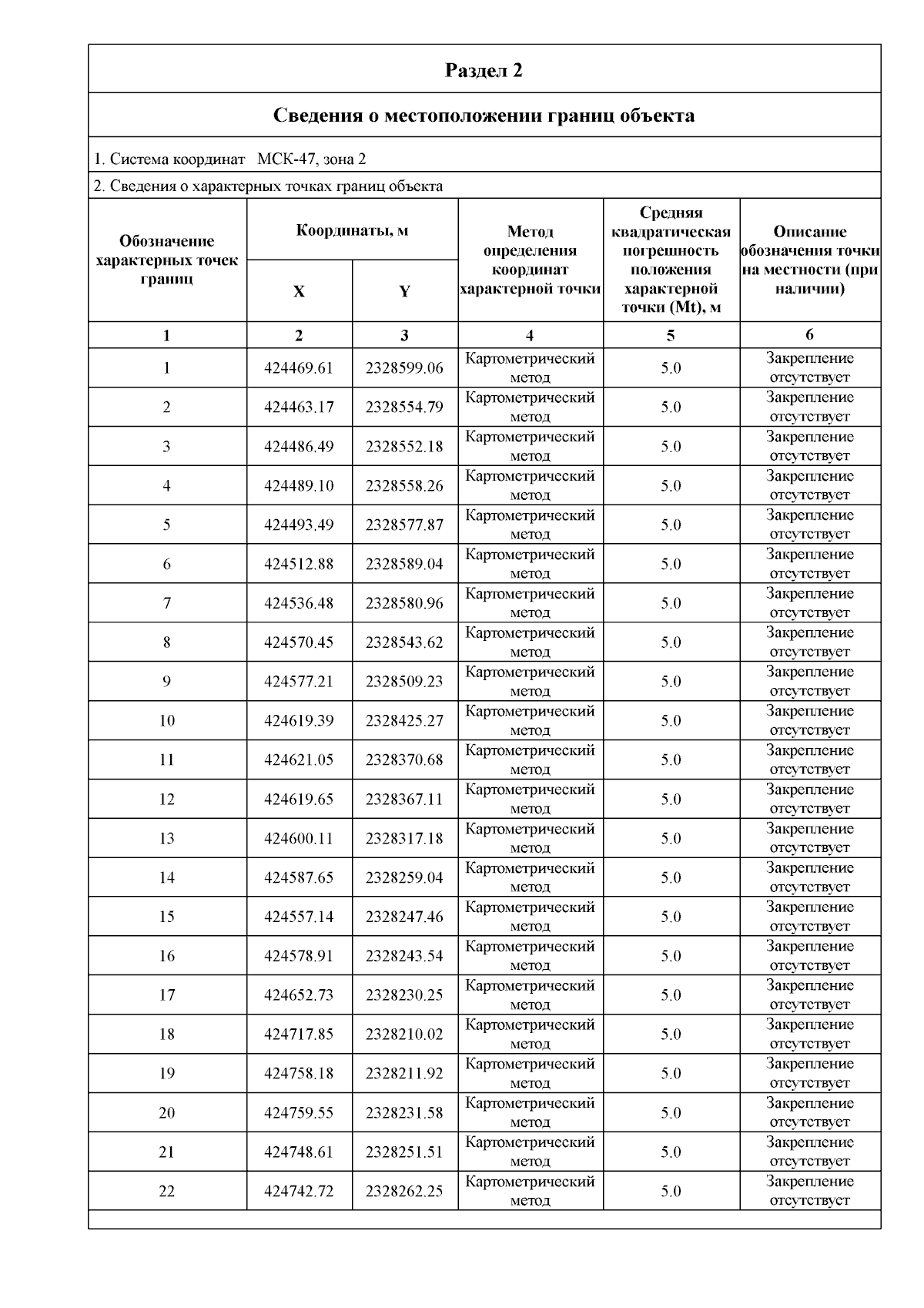
Страница №746 из 751:
Увеличить