Официальное опубликование правовых актов
ОФИЦИАЛЬНОЕ ОПУБЛИКОВАНИЕ
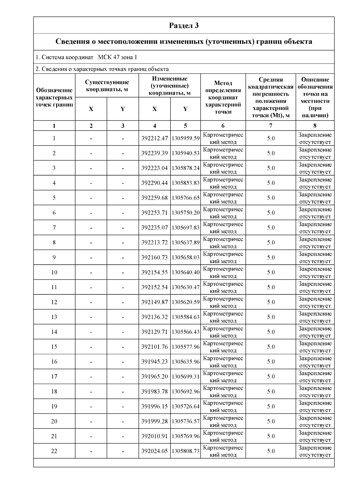
Приказ Комитета градостроительной политики Ленинградской области от 12.09.2025 № 99
"О внесении изменений в правила землепользования и застройки муниципального образования "Фалилеевское сельское поселение" муниципального образования "Кингисеппский муниципальный район" Ленинградской области"
(Зарегистрирован 12.09.2025 № 01-06-99/2025)
Номер опубликования: 4701202509160008
Дата опубликования: 16.09.2025
Страница №7 из 10:
Увеличить