Официальное опубликование правовых актов
ОФИЦИАЛЬНОЕ ОПУБЛИКОВАНИЕ
Приказ Комитета градостроительной политики Ленинградской области от 29.08.2025 № 93
"О внесении изменений в Правила землепользования и застройки муниципального образования Ропшинское сельское поселение муниципального образования Ломоносовский муниципальный район Ленинградской области"
(Зарегистрирован 29.08.2025 № 01-06-93/2025)
Номер опубликования: 4701202509030004
Дата опубликования: 03.09.2025
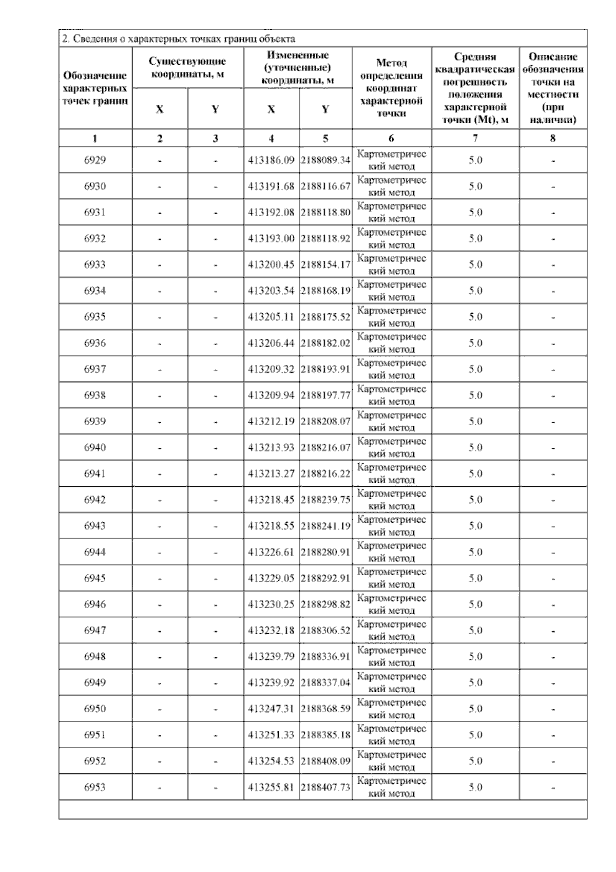
Страница №294 из 340:
Увеличить