Официальное опубликование правовых актов
ОФИЦИАЛЬНОЕ ОПУБЛИКОВАНИЕ
Приказ Комитета градостроительной политики Ленинградской области от 29.08.2025 № 94
"Об утверждении правил землепользования и застройки Свердловского городского поселения Всеволожского муниципального района Ленинградской области применительно к части территории поселения"
(Зарегистрирован 29.08.2025 № 01-06-94/2025)
Номер опубликования: 4701202509030002
Дата опубликования: 03.09.2025
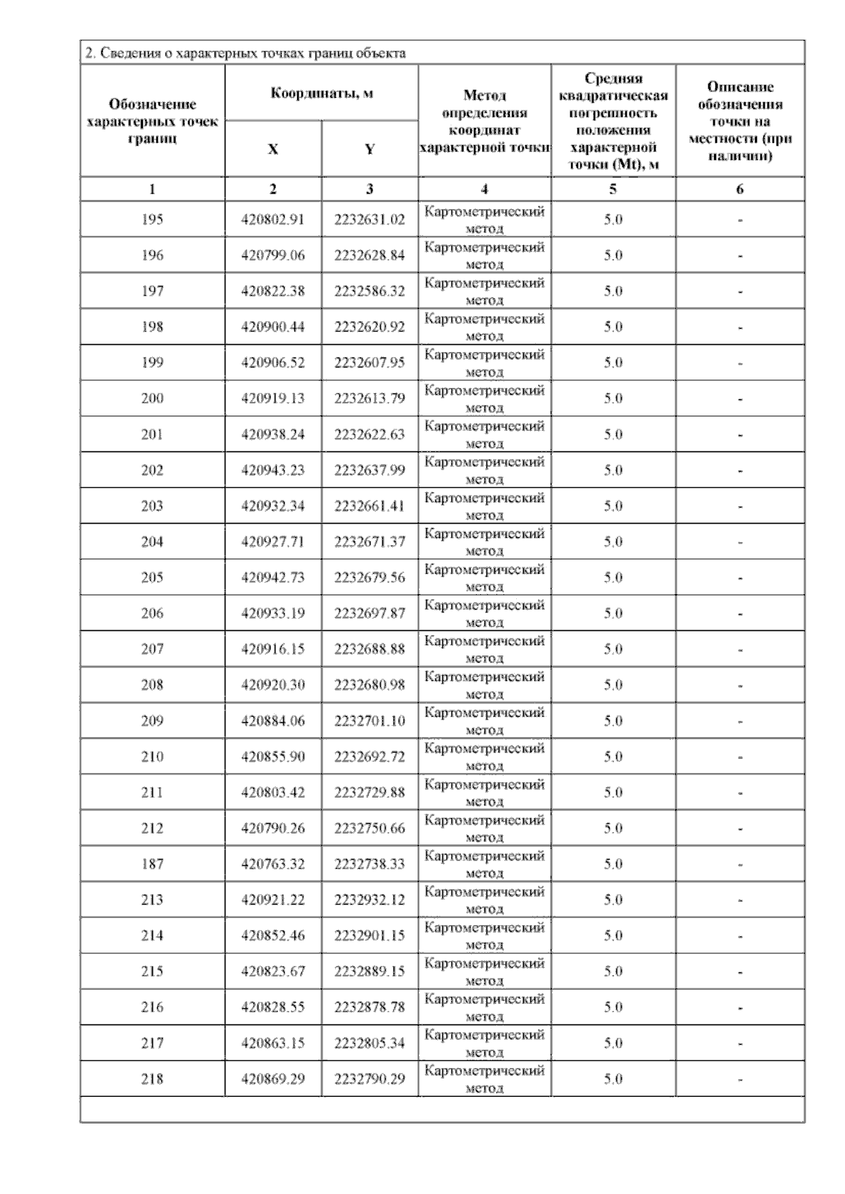
Страница №198 из 330:
Увеличить