Официальное опубликование правовых актов
ОФИЦИАЛЬНОЕ ОПУБЛИКОВАНИЕ
Приказ Комитета градостроительной политики Ленинградской области от 16.05.2025 № 44
"О внесении изменений в правила землепользования и застройки муниципального образования Аннинское городское поселение Ломоносовского муниципального района Ленинградской области"
(Зарегистрирован 16.05.2025 № 01-06-44/2025)
Номер опубликования: 4701202505210002
Дата опубликования: 21.05.2025
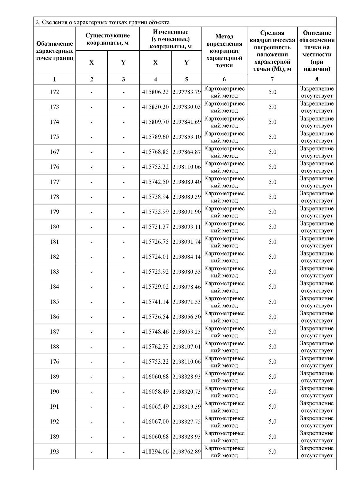
Страница №15 из 143:
Увеличить