Официальное опубликование правовых актов
ОФИЦИАЛЬНОЕ ОПУБЛИКОВАНИЕ
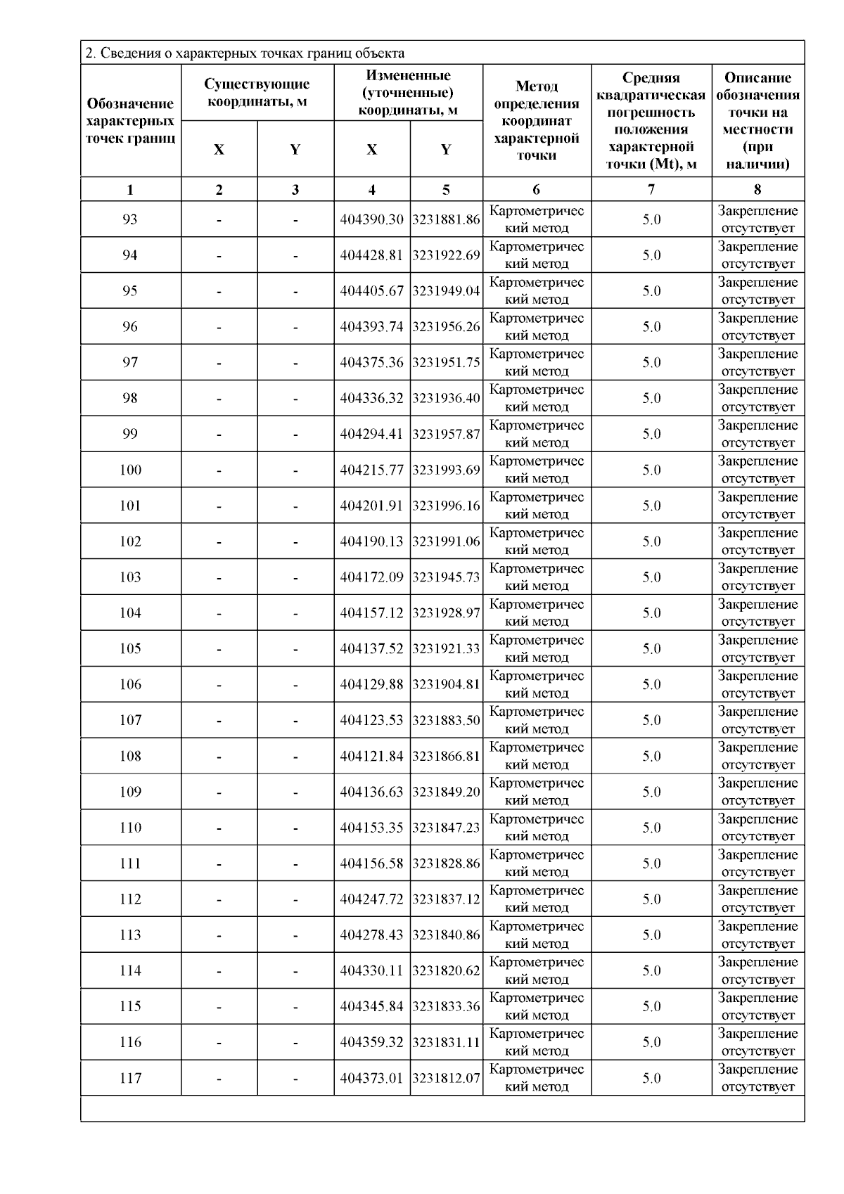
Приказ Комитета градостроительной политики Ленинградской области от 28.01.2025 № 5
"О внесении изменений в правила землепользования и застройки Тихвинского городского поселения Тихвинского района Ленинградской области (применительно к территориям населённых пунктов и части территории земель промышленности)"
(Зарегистрирован 28.01.2025 № 01-06-5/2025)
Номер опубликования: 4701202502040010
Дата опубликования: 04.02.2025
Страница №13 из 105:
Увеличить