Официальное опубликование правовых актов
ОФИЦИАЛЬНОЕ ОПУБЛИКОВАНИЕ
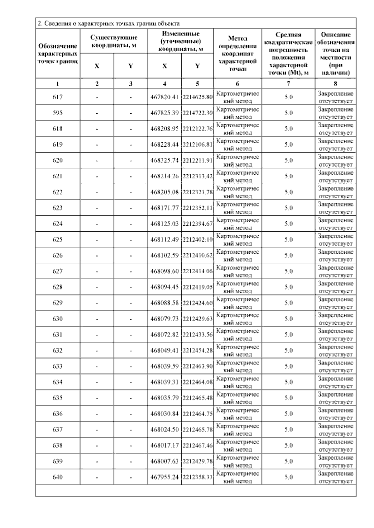
Приказ Комитета градостроительной политики Ленинградской области от 26.12.2024 № 217
"О внесении изменений в Правила землепользования и застройки муниципального образования "Агалатовское сельское поселение" Всеволожского муниципального района Ленинградской области"
(Зарегистрирован 26.12.2024 № 01-06-217/2024)
Номер опубликования: 4701202412280064
Дата опубликования: 28.12.2024
Страница №89 из 168:
Увеличить