Официальное опубликование правовых актов
ОФИЦИАЛЬНОЕ ОПУБЛИКОВАНИЕ
Приказ Комитета по тарифам и ценовой политике Ленинградской области от 09.12.2024 № 263-п
"О внесении изменений в приказ комитета по тарифам и ценовой политике Ленинградской области от 13 декабря 2023 № 300-п "Об утверждении производственных программ и установлении тарифов на услуги в сфере холодного водоснабжения (техническая вода) и водоотведения (транспортировка сточных вод) общества с ограниченной ответственностью "Солнечное Молоко" на 2024-2026 годы"
(Зарегистрирован 09.12.2024 № 263-п)
Номер опубликования: 4701202412120004
Дата опубликования: 12.12.2024
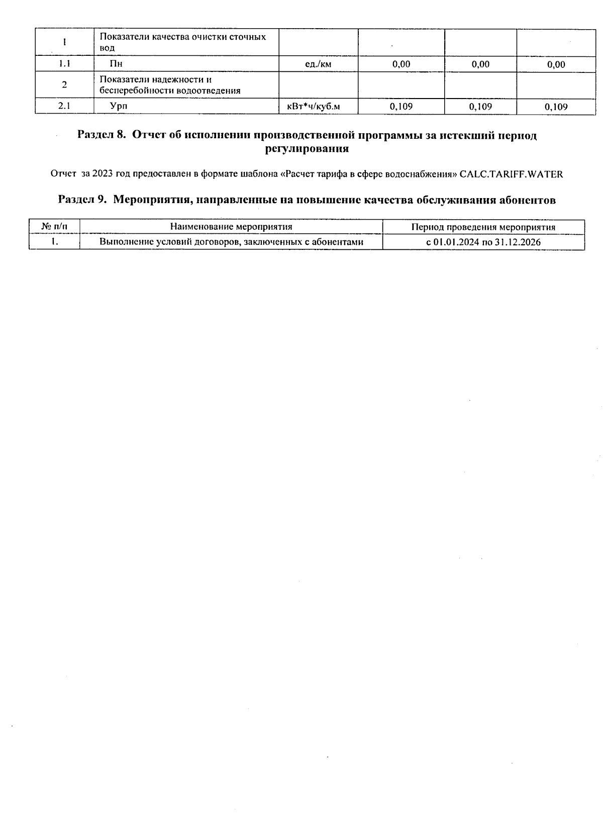
Страница №8 из 9:
Увеличить