Официальное опубликование правовых актов
ОФИЦИАЛЬНОЕ ОПУБЛИКОВАНИЕ
Приказ Комитета градостроительной политики Ленинградской области от 20.11.2024 № 188
"О внесении изменений в правила землепользования и застройки муниципального образования "Город Всеволожск" Всеволожского муниципального района Ленинградской области"
(Зарегистрирован 20.11.2024 № 01-06-188/2024)
Номер опубликования: 4701202411250001
Дата опубликования: 25.11.2024
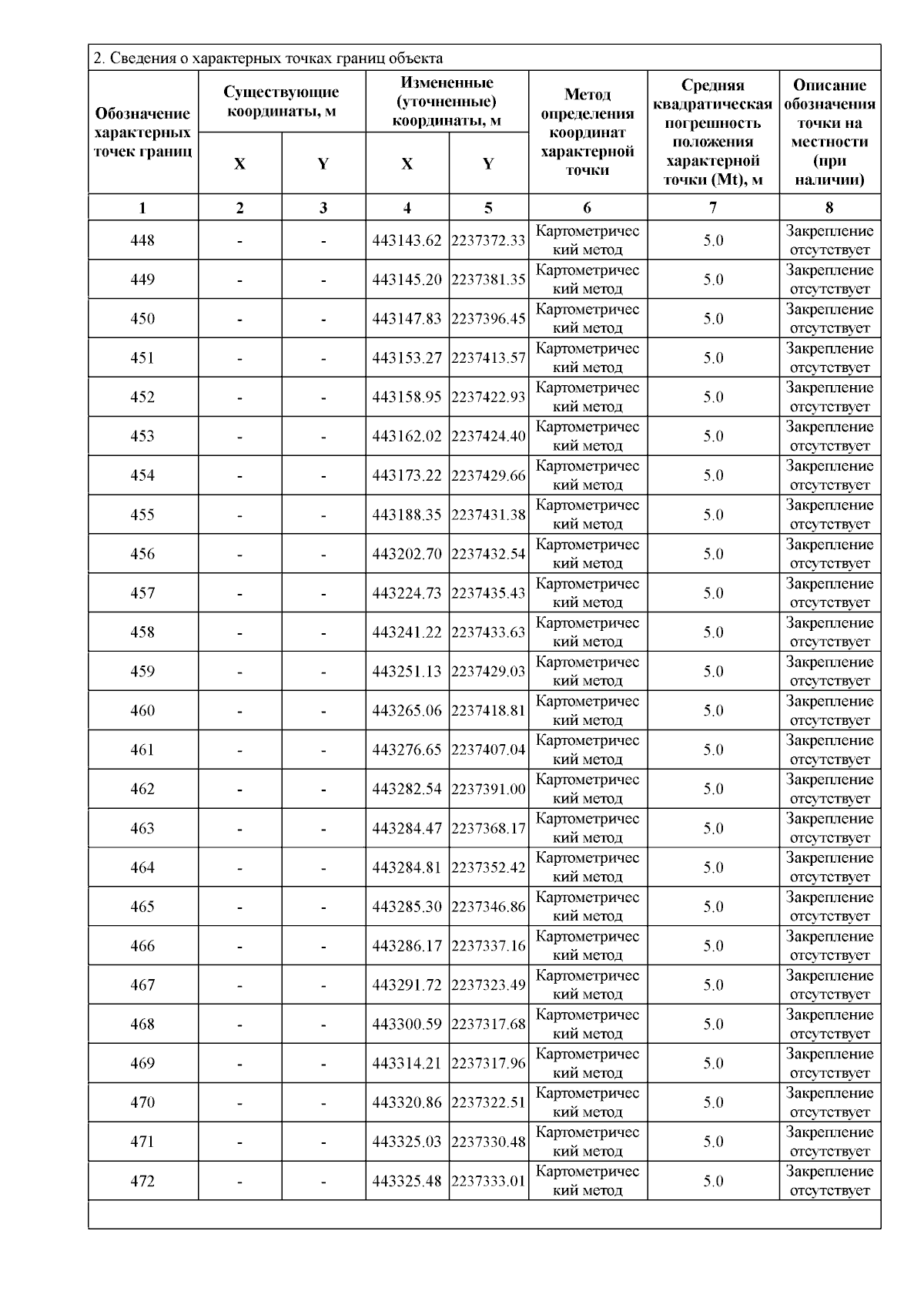
Страница №62 из 89:
Увеличить