Официальное опубликование правовых актов
ОФИЦИАЛЬНОЕ ОПУБЛИКОВАНИЕ
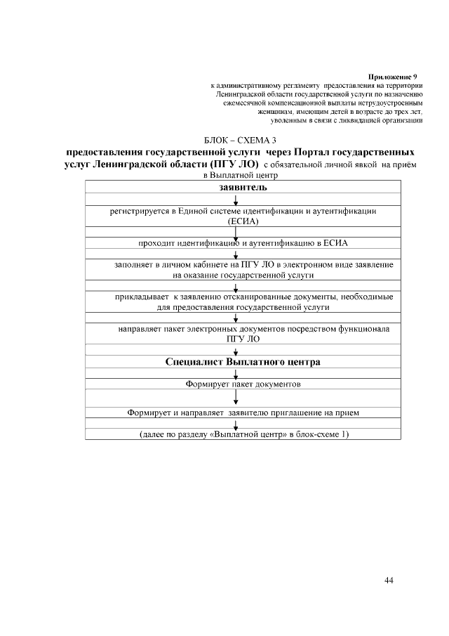
Приказ Комитета по социальной защите населения Ленинградской области от 12.05.2016 № 19
"Об утверждении административного регламента"
Номер опубликования: 4701201605130003
Дата опубликования: 13.05.2016
Страница №44 из 45:
Увеличить