Приказ Комитета по социальной защите населения Ленинградской области от 13.04.2016 № 11
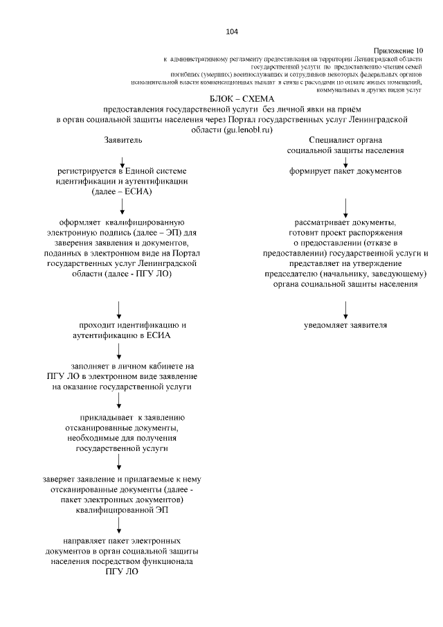
"О внесении изменений в приказ комитета по социальной защите населения Ленинградской области от 31 августа 2015 года № 14 "Об утверждении административных регламентов предоставления на территории Ленинградской области государственных услуг по предоставлению компенсаций и иных выплат отдельным категориям граждан из числа военнослужащих, граждан, призванных на военные сборы и членов семей погибших (умерших) военнослужащих и сотрудников некоторых федеральных органов исполнительной власти"
"О внесении изменений в приказ комитета по социальной защите населения Ленинградской области от 31 августа 2015 года № 14 "Об утверждении административных регламентов предоставления на территории Ленинградской области государственных услуг по предоставлению компенсаций и иных выплат отдельным категориям граждан из числа военнослужащих, граждан, призванных на военные сборы и членов семей погибших (умерших) военнослужащих и сотрудников некоторых федеральных органов исполнительной власти"
Номер опубликования: 4701201604190003
Дата опубликования:
19.04.2016
