Официальное опубликование правовых актов
ОФИЦИАЛЬНОЕ ОПУБЛИКОВАНИЕ
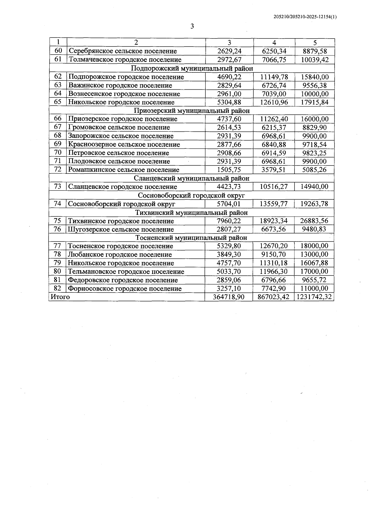
Постановление Правительства Ленинградской области от 24.12.2025 № 1089
"О внесении изменения в постановление Правительства Ленинградской области от 20 января 2025 года № 35"
Номер опубликования: 4700202512290003
Дата опубликования: 29.12.2025
Страница №4 из 4:
Увеличить