Официальное опубликование правовых актов
ОФИЦИАЛЬНОЕ ОПУБЛИКОВАНИЕ
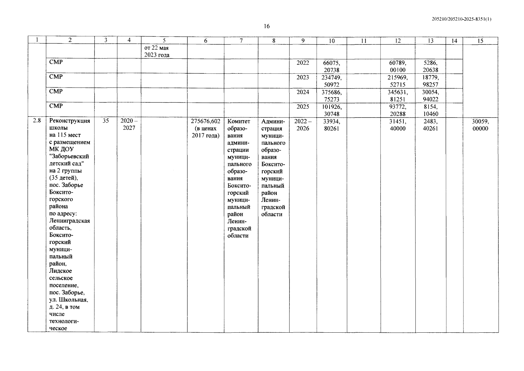
Постановление Правительства Ленинградской области от 17.09.2025 № 795
"О внесении изменений в постановление Правительства Ленинградской области от 2 февраля 2022 года № 66"
Номер опубликования: 4700202509230001
Дата опубликования: 23.09.2025
Страница №18 из 35:
Увеличить