Официальное опубликование правовых актов
ОФИЦИАЛЬНОЕ ОПУБЛИКОВАНИЕ
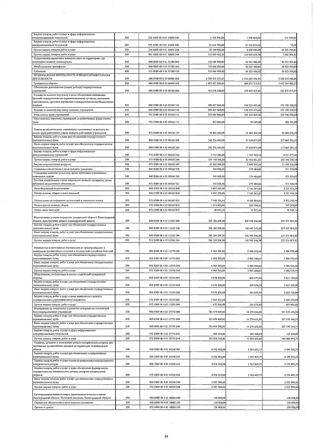
Постановление Правительства Ленинградской области от 19.08.2025 № 720
"Об исполнении областного бюджета Ленинградской области за первое полугодие 2025 года"
Номер опубликования: 4700202508260001
Дата опубликования: 26.08.2025
Страница №65 из 153:
Увеличить