Официальное опубликование правовых актов
ОФИЦИАЛЬНОЕ ОПУБЛИКОВАНИЕ
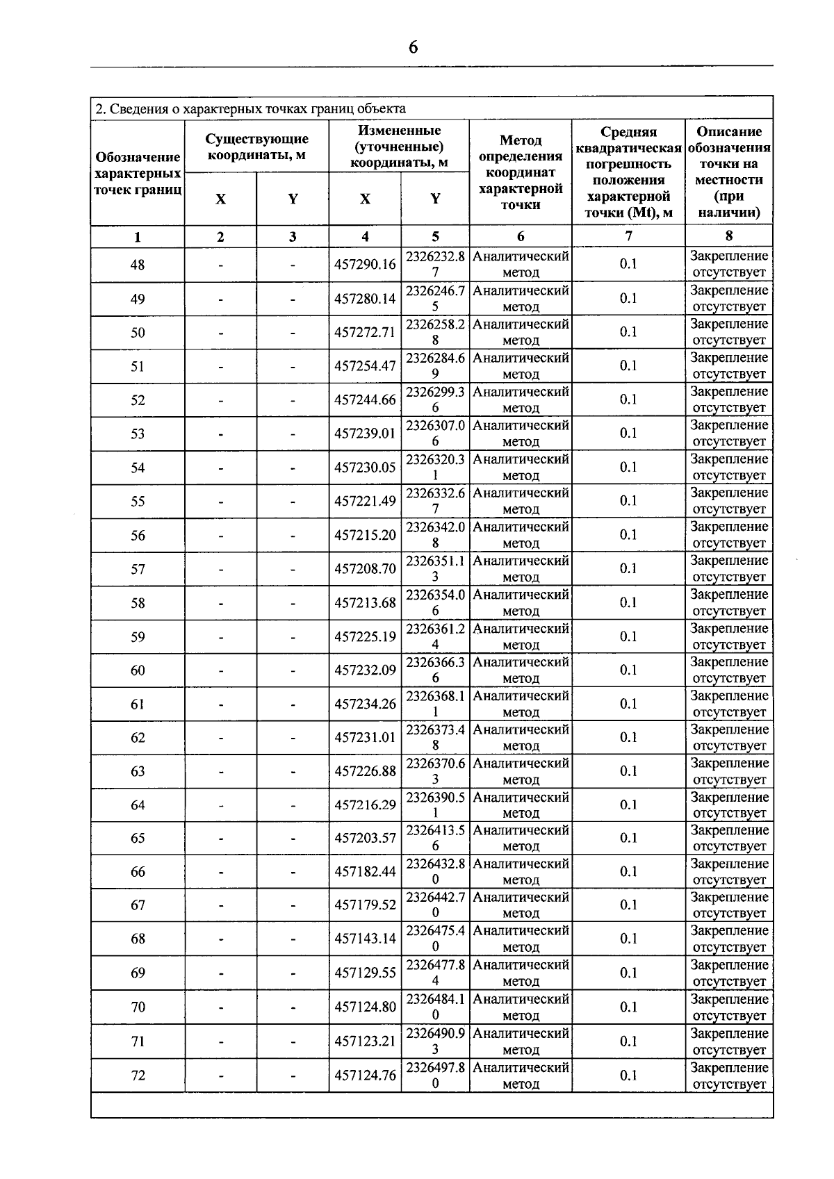
Постановление Правительства Ленинградской области от 03.06.2025 № 493
"О внесении изменений в Генеральный план города Новая Ладога Волховского района Ленинградской области"
Номер опубликования: 4700202506090009
Дата опубликования: 09.06.2025
Страница №32 из 61:
Увеличить