Официальное опубликование правовых актов
ОФИЦИАЛЬНОЕ ОПУБЛИКОВАНИЕ
Постановление Правительства Ленинградской области от 03.06.2025 № 496
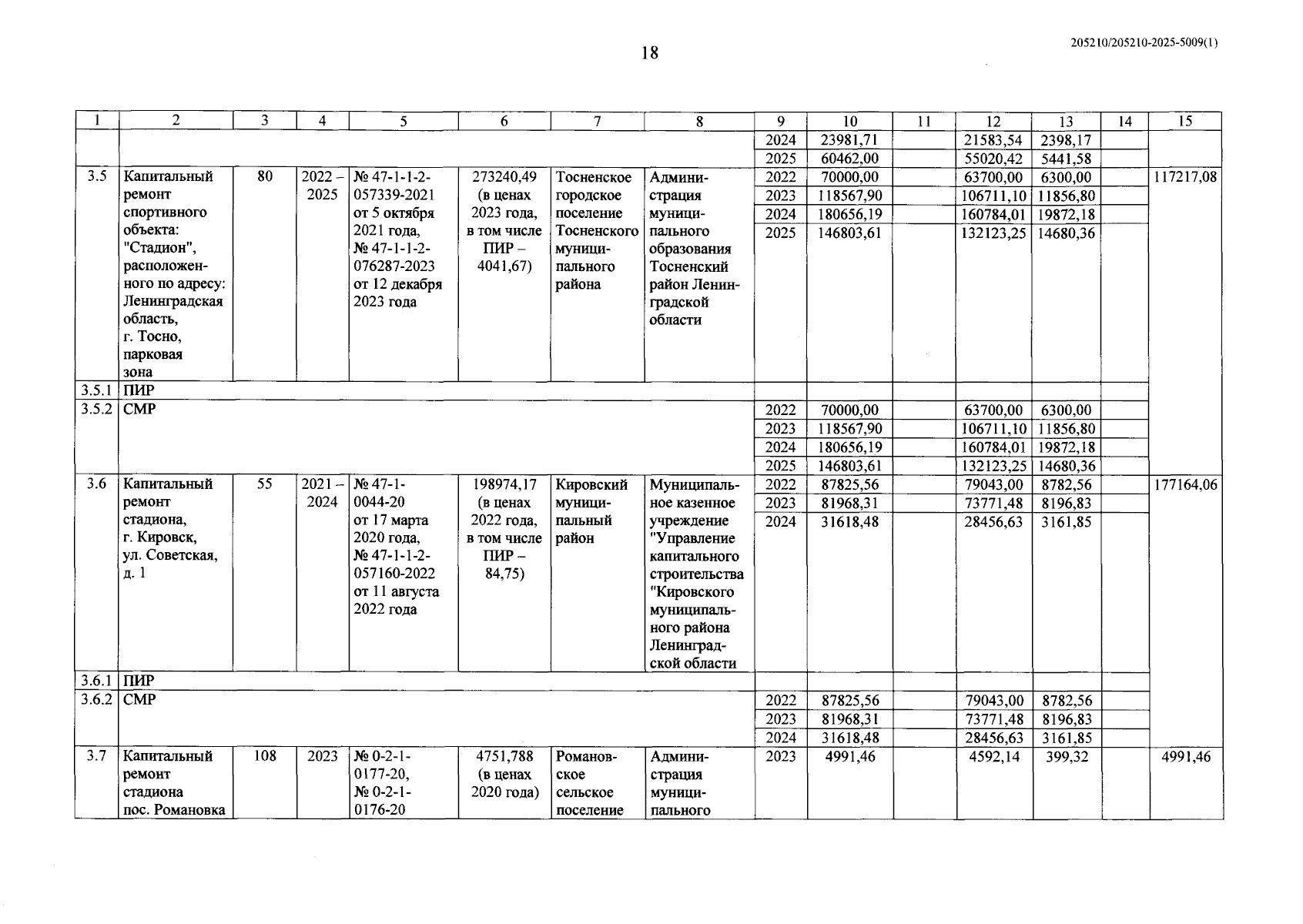
"О внесении изменений в постановление Правительства Ленинградской области от 27 ноября 2015 года № 444 "Об утверждении Перечня объектов и распределения субсидий из областного бюджета Ленинградской области бюджетам муниципальных образований Ленинградской области на реализацию мероприятий по строительству и реконструкции спортивных объектов в рамках государственной программы Ленинградской области "Развитие физической культуры и спорта в Ленинградской области"
Номер опубликования: 4700202506090006
Дата опубликования: 09.06.2025
Страница №19 из 39:
Увеличить