Официальное опубликование правовых актов
ОФИЦИАЛЬНОЕ ОПУБЛИКОВАНИЕ
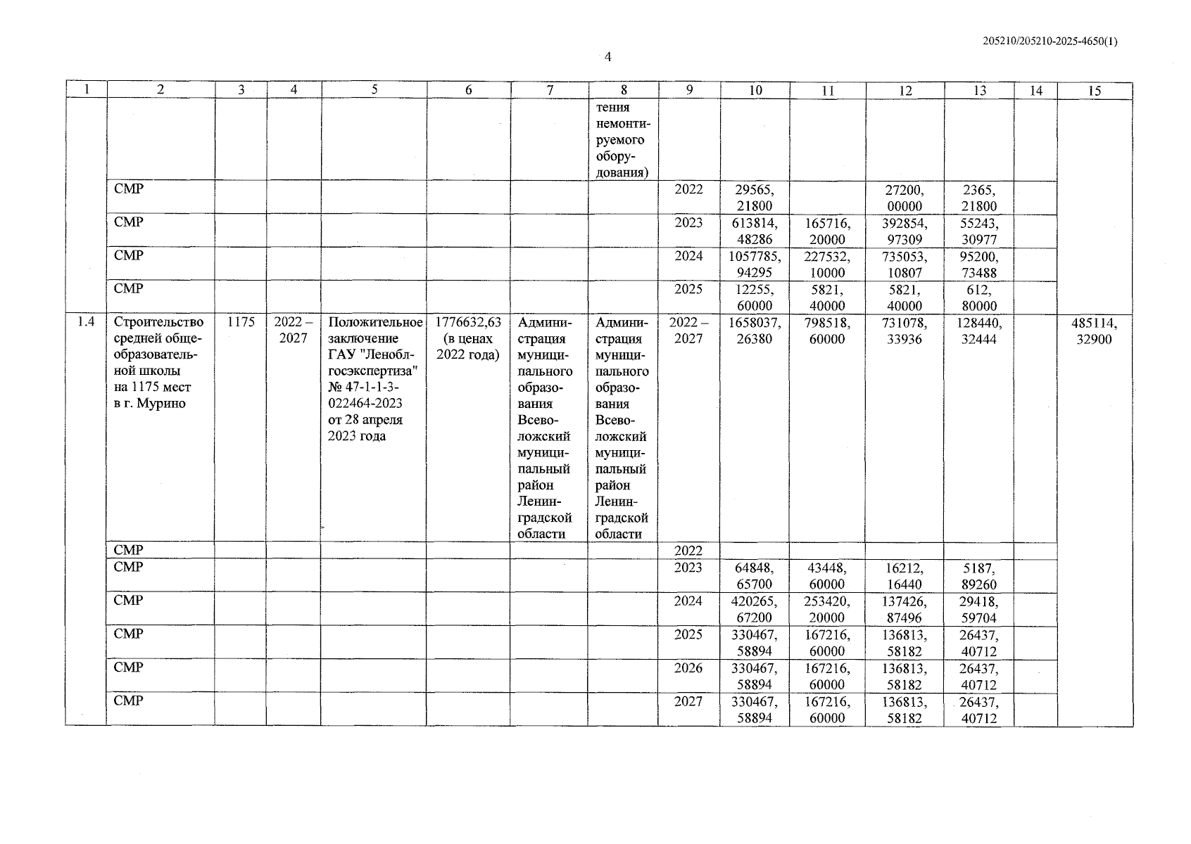
Постановление Правительства Ленинградской области от 27.05.2025 № 467
"О внесении изменений в постановление Правительства Ленинградской области от 2 февраля 2022 года № 66"
Номер опубликования: 4700202506020001
Дата опубликования: 02.06.2025
Страница №6 из 44:
Увеличить