Официальное опубликование правовых актов
ОФИЦИАЛЬНОЕ ОПУБЛИКОВАНИЕ
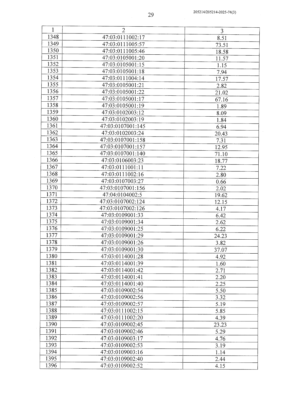
Постановление Правительства Ленинградской области от 17.01.2025 № 32
"О внесении изменения в постановление Правительства Ленинградской области от 17 августа 2011 года № 257 "Об утверждении Перечня особо ценных продуктивных сельскохозяйственных угодий, расположенных на территории Ленинградской области, использование которых для целей, не связанных с ведением сельского хозяйства, не допускается"
Номер опубликования: 4700202501220005
Дата опубликования: 22.01.2025
Страница №30 из 36:
Увеличить