Официальное опубликование правовых актов
ОФИЦИАЛЬНОЕ ОПУБЛИКОВАНИЕ
Приказ Комитета по охране объектов культурного наследия Курской области от 25.12.2023 № 05.3-08/857
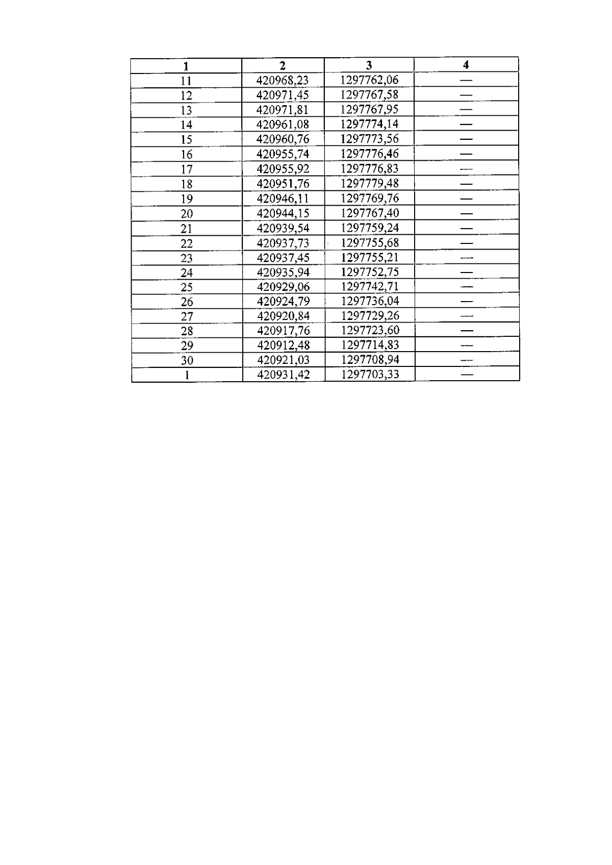
"Об утверждении границ и режима использования территории объекта культурного наследия местного (муниципального) значения "Ансамбль купеческой усадьбы А.И. Желтухиной", конец XIX в., расположенного по адресу: Курская область, г. Курск, ул. Советская, 54, в составе: "Главный усадебный дом", конец XIX в., "Флигель", конец XIX в., "Хозяйственная постройка", конец XIX в."
(Зарегистрирован 25.12.2023 № 1426.23.25)
Номер опубликования: 4601202312290002
Дата опубликования: 29.12.2023
Страница №7 из 9:
Увеличить