Официальное опубликование правовых актов
ОФИЦИАЛЬНОЕ ОПУБЛИКОВАНИЕ
Приказ Комитета по охране объектов культурного наследия Курской области от 11.12.2023 № 05.3-08/829
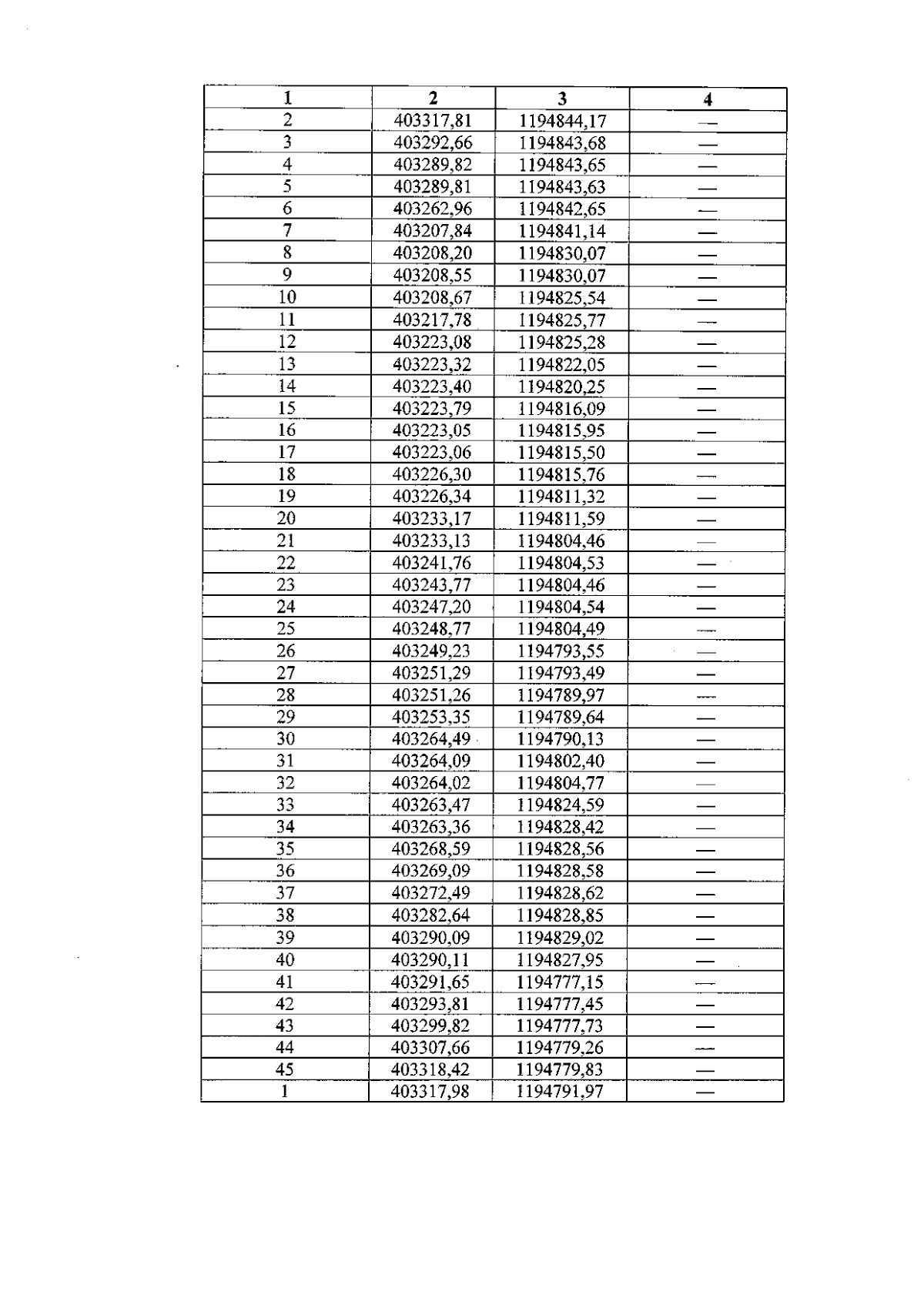
"Об утверждении границ и режима использования территории объекта культурного наследия регионального значения "Дома жилые с торговыми лавками", конец XIX — начало ХХ вв., расположенного по адресу: Курская область, г. Рыльск, Советская площадь, д. 4, д. 6, д. 8, в составе: "Дом жилой Соловьева", кон. XIX - нач. ХХ вв., расположенного по адресу: Курская область, Рыльский район, г. Рыльск, Советская площадь, д. 4, "Дом жилой Портнова", кон. XIX — нач. ХХ вв., расположенного по адресу: Курская область, Рыльский район, г. Рыльск, Советская площадь, д. 6, "Дом жилой с торговыми лавками Шелехова", кон. XIX - нач. ХХ вв., расположенного по адресу: Курская область, Рыльский район, г. Рыльск, Советская площадь, д. 8"
(Зарегистрирован 13.12.2023 № 1362.23.25)
Номер опубликования: 4601202312200006
Дата опубликования: 20.12.2023
Страница №9 из 11:
Увеличить