Официальное опубликование правовых актов
ОФИЦИАЛЬНОЕ ОПУБЛИКОВАНИЕ
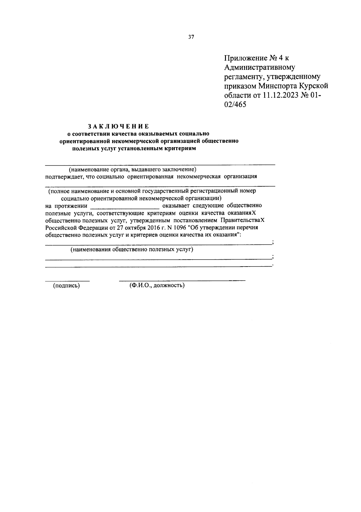
Приказ Министерства физической культуры и спорта Курской области от 11.12.2023 № 01-02/465
"Об утверждении Административного регламента Министерства физической культуры и спорта Курской области по предоставлению государственной услуги "Оценка качества оказания общественно полезных услуг социально ориентированной некоммерческой организацией"
(Зарегистрирован 11.12.2023 № 1343.23.07)
Номер опубликования: 4601202312180004
Дата опубликования: 18.12.2023
Страница №37 из 37:
Увеличить