Официальное опубликование правовых актов
ОФИЦИАЛЬНОЕ ОПУБЛИКОВАНИЕ
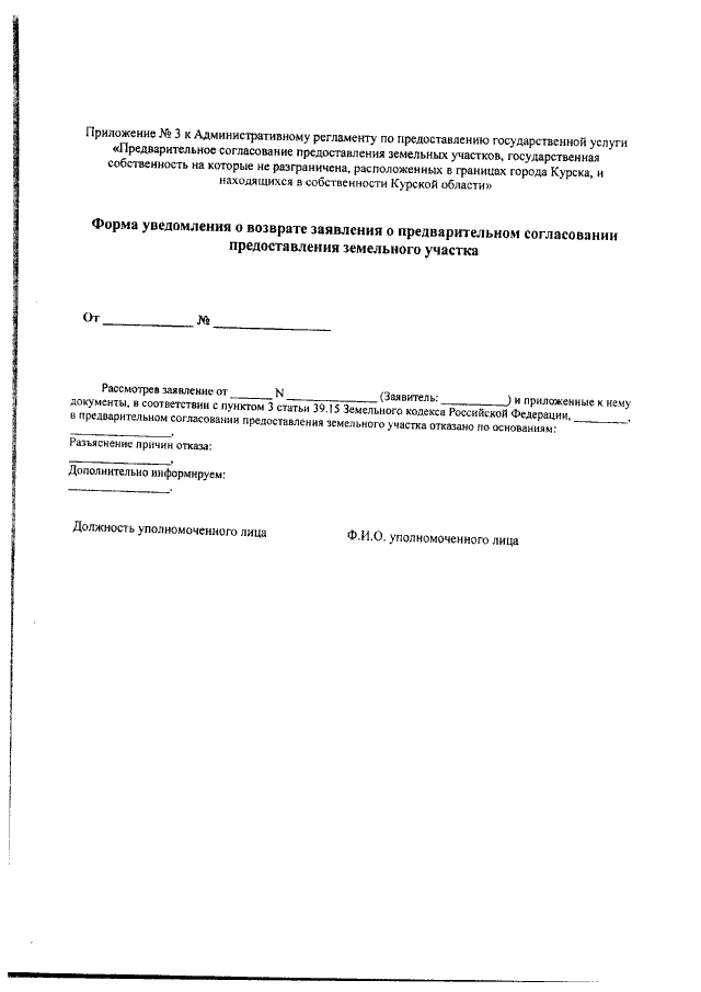
Приказ Комитета по управлению имуществом Курской области от 22.11.2022 № 01.01-16/137
"Об утверждении административного регламента"
Номер опубликования: 4601202212010011
Дата опубликования: 01.12.2022
Страница №27 из 39:
Увеличить