Официальное опубликование правовых актов
ОФИЦИАЛЬНОЕ ОПУБЛИКОВАНИЕ
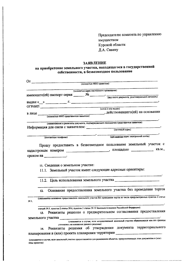
Приказ Комитета по управлению имуществом Курской области от 22.11.2022 № 01.01-16/141
"Об утверждении административного регламента"
Номер опубликования: 4601202212010007
Дата опубликования: 01.12.2022
Страница №35 из 44:
Увеличить