Официальное опубликование правовых актов
ОФИЦИАЛЬНОЕ ОПУБЛИКОВАНИЕ
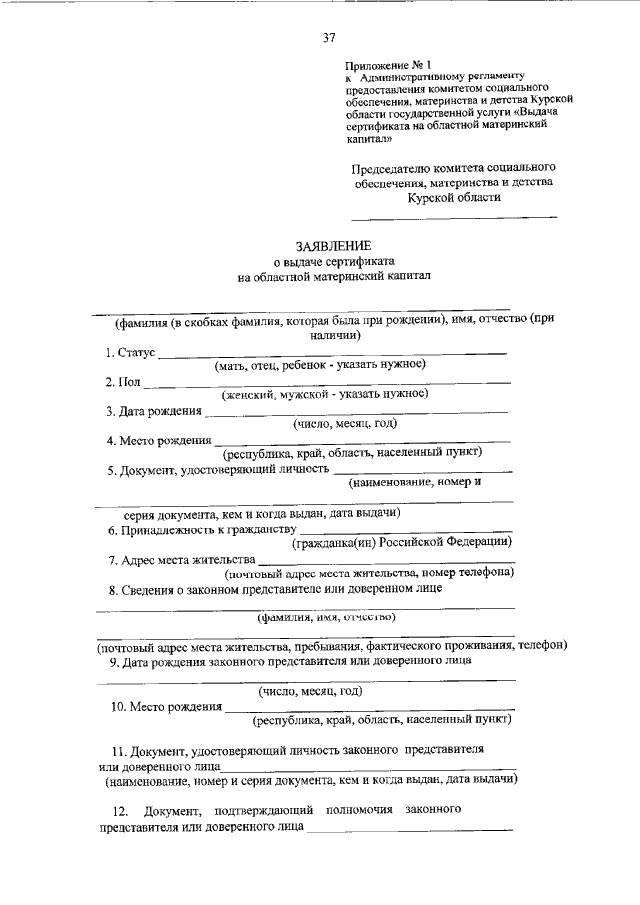
Приказ Комитета социального обеспечения, материнства и детства Курской области от 02.11.2022 № 522
"Об утверждении Административного регламента предоставления комитетом социального обеспечения, материнства и детства Курской области государственной услуги "Выдача сертификата на областной материнский капитал"
Номер опубликования: 4601202211070002
Дата опубликования: 07.11.2022
Страница №39 из 57:
Увеличить