Официальное опубликование правовых актов
ОФИЦИАЛЬНОЕ ОПУБЛИКОВАНИЕ
Приказ Комитета по охране объектов культурного наследия Курской области от 05.09.2022 № 05.4-08/1051
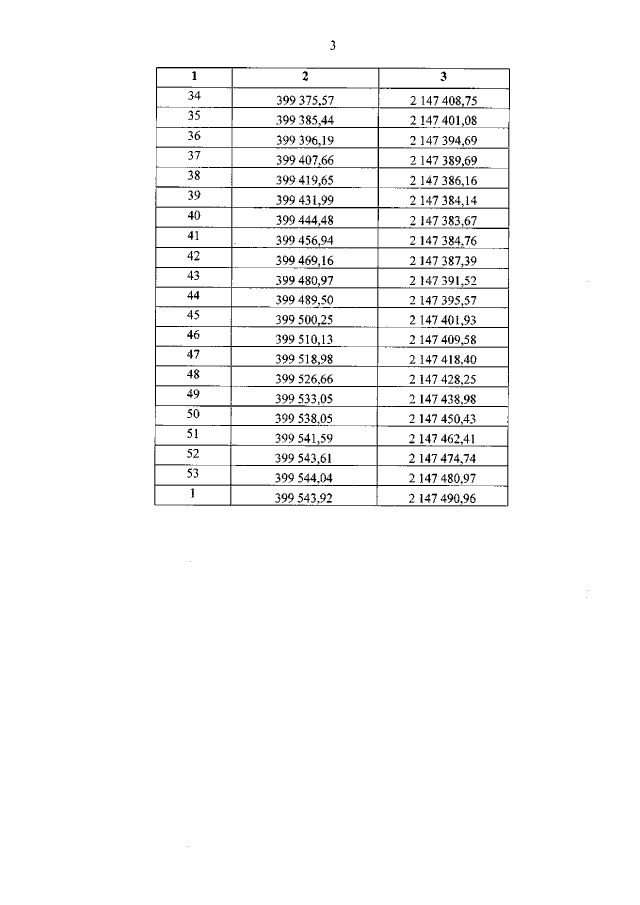
"Об утверждении графического описания местоположения границ защитной зоны объекта культурного наследия регионального значения "Братская могила советских воинов", 1943 г. (Курская область, Тимский район, д. Ближняя Каменка)"
Номер опубликования: 4601202209130012
Дата опубликования: 13.09.2022
Страница №4 из 5:
Увеличить