Официальное опубликование правовых актов
ОФИЦИАЛЬНОЕ ОПУБЛИКОВАНИЕ
Приказ Комитета по охране объектов культурного наследия Курской области от 05.09.2022 № 05.4-08/1053
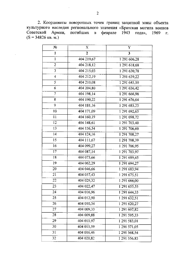
"Об утверждении графического описания местоположения границ защитной зоны объекта культурного наследия регионального значения "Братская могила воинов Советской Армии, погибших в феврале 1943 года", 1969 г. (Курская область, Курский район, д. Селиховы Дворы)"
Номер опубликования: 4601202209130010
Дата опубликования: 13.09.2022
Страница №4 из 6:
Увеличить