Официальное опубликование правовых актов
ОФИЦИАЛЬНОЕ ОПУБЛИКОВАНИЕ
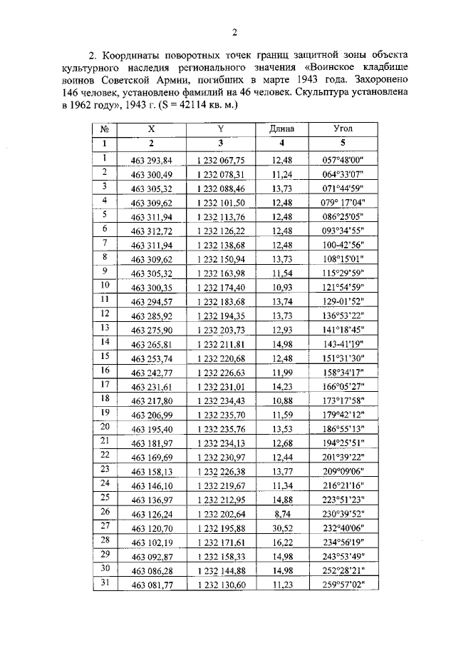
Приказ Комитета по охране объектов культурного наследия Курской области от 25.08.2022 № 05.4-08/998
"Об утверждении графического описания местоположения границ защитной зоны объекта культурного наследия регионального значения "Воинское кладбище воинов Советской Армии, погибших в марте 1943 года. Захоронено 146 человек, установлено фамилий на 46 человек. Скульптура установлена в 1962 году", 1943 г. (Курская область, Дмитриевский район, Новопершинский сельсовет, д. Расстрыгино)"
Номер опубликования: 4601202208310006
Дата опубликования: 31.08.2022
Страница №4 из 6:
Увеличить