Официальное опубликование правовых актов
ОФИЦИАЛЬНОЕ ОПУБЛИКОВАНИЕ
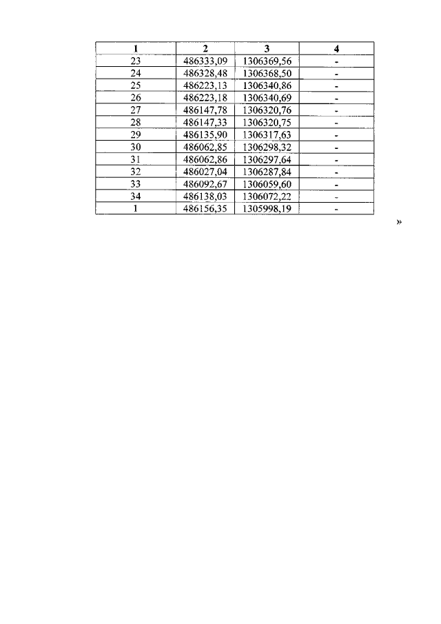
Приказ Комитета по охране объектов культурного наследия Курской области от 19.08.2022 № 05.4-08/976
"О внесении изменения в приказ комитета по охране объектов культурного наследия Курской области от 22.06.2022 № 05.4-08/728 "Об утверждении графического описания местоположения границ защитной зоны объекта культурного наследия регионального значения "Братская могила воинов Советской Армии, погибших в период Великой Отечественной войны", 1941–1945 гг. (Курская область, Поныровский район, ст. Поныри (на привокзальной площади)"
Номер опубликования: 4601202208240002
Дата опубликования: 24.08.2022
Страница №6 из 6:
Увеличить