Официальное опубликование правовых актов
ОФИЦИАЛЬНОЕ ОПУБЛИКОВАНИЕ
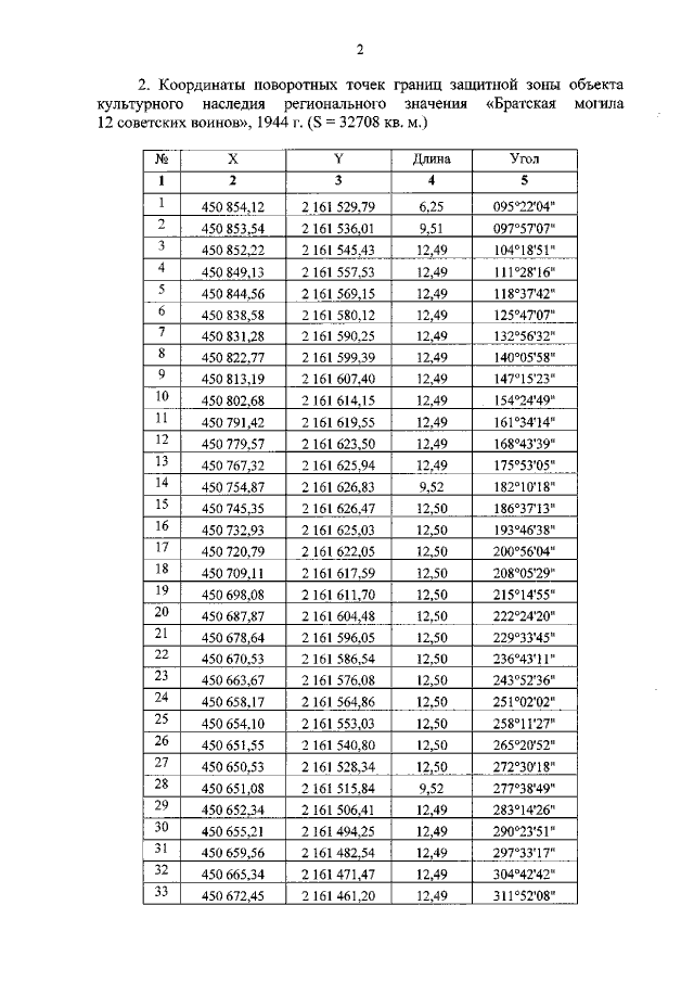
Приказ Комитета по охране объектов культурного наследия Курской области от 11.08.2022 № 05.4-08/964
"Об утверждении графического описания местоположения границ защитной зоны объекта культурного наследия регионального значения "Братская могила 12 советских воинов", 1944 г. (Курская область, Черемисиновский район, д. Удерево)"
Номер опубликования: 4601202208170023
Дата опубликования: 17.08.2022
Страница №3 из 5:
Увеличить