Официальное опубликование правовых актов
ОФИЦИАЛЬНОЕ ОПУБЛИКОВАНИЕ
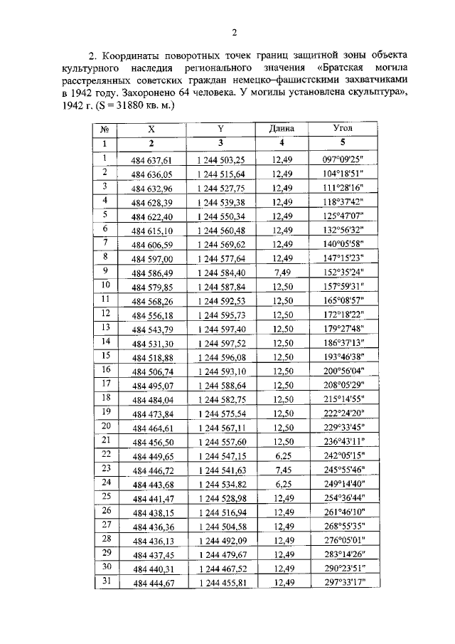
Приказ Комитета по охране объектов культурного наследия Курской области от 15.07.2022 № 05.4-08/851
"Об утверждении графического описания местоположения границ защитной зоны объекта культурного наследия регионального значения "Братская могила расстрелянных советских граждан немецко—фашистскими захватчиками в 1942 году. Захоронено 64 человека. У могилы установлена скульптура", 1942 г. (Курская область, Железногорский район, Веретенинский сельсовет, с. Веретенино)"
Номер опубликования: 4601202207220019
Дата опубликования: 22.07.2022
Страница №4 из 6:
Увеличить