Приказ Комитета по охране объектов культурного наследия Курской области от 15.07.2022 № 05.4-08/852
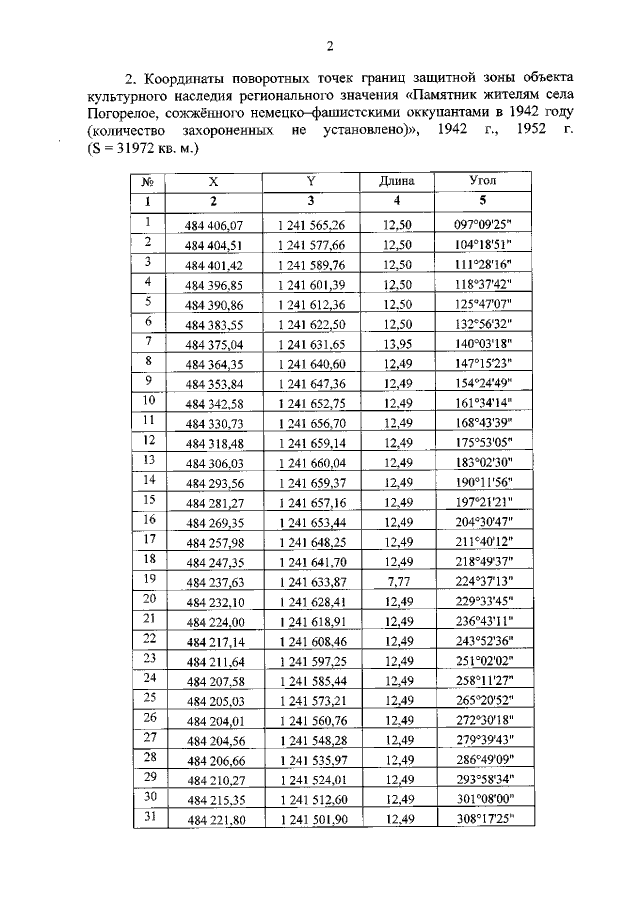
"Об утверждении графического описания местоположения границ защитной зоны объекта культурного наследия регионального значения "Памятник жителям села Погорелое, сожжённого немецко—фашистскими оккупантами в 1942 году (количество захороненных не установлено)", 1942 г., 1952 г. (Курская область, Железногорский район, с/с Веретенинский, п. Горняцкий)"
"Об утверждении графического описания местоположения границ защитной зоны объекта культурного наследия регионального значения "Памятник жителям села Погорелое, сожжённого немецко—фашистскими оккупантами в 1942 году (количество захороненных не установлено)", 1942 г., 1952 г. (Курская область, Железногорский район, с/с Веретенинский, п. Горняцкий)"
Номер опубликования: 4601202207220017
Дата опубликования:
22.07.2022
