Официальное опубликование правовых актов
ОФИЦИАЛЬНОЕ ОПУБЛИКОВАНИЕ
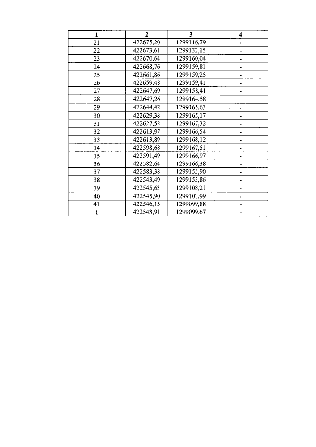
Приказ Комитета по охране объектов культурного наследия Курской области от 15.07.2022 № 05.4-08/859
"Об утверждении границ и режима использования территории объекта культурного наследия регионального значения "Поликлиника УВД", 1950—е гг., расположенного по адресу: Курская область, г. Курск, ул. Гоголя, д. 5"
Номер опубликования: 4601202207220007
Дата опубликования: 22.07.2022
Страница №6 из 8:
Увеличить