Официальное опубликование правовых актов
ОФИЦИАЛЬНОЕ ОПУБЛИКОВАНИЕ
Приказ Комитета по охране объектов культурного наследия Курской области от 14.07.2022 № 05.4-08/831
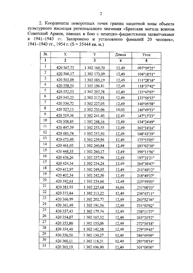
"Об утверждении графического описания местоположения границ защитной зоны объекта культурного наследия регионального значения "Братская могила воинов Советской Армии, павших в бою с немецко—фашистскими захватчиками в 1941—1943 гг. Захоронено и установлено фамилий 20 человек", 1941—1943 гг., 1954 г. (Курская область, г. Курск, ул. Горелый лес (у полотна железной дороги)"
Номер опубликования: 4601202207210002
Дата опубликования: 21.07.2022
Страница №4 из 6:
Увеличить