Официальное опубликование правовых актов
ОФИЦИАЛЬНОЕ ОПУБЛИКОВАНИЕ
Приказ Комитета по охране объектов культурного наследия Курской области от 13.07.2022 № 05.4-08/804
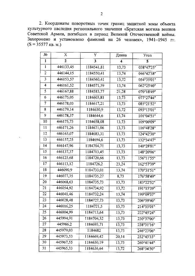
"Об утверждении графического описания местоположения границ защитной зоны объекта культурного наследия регионального значения "Братская могила воинов Советской Армии, погибших в период Великой Отечественной войны. Захоронено и установлено фамилий на 26 человек", 1941—1945 гг. (Курская область, Хомутовский район, с. Дубовица)"
Номер опубликования: 4601202207180001
Дата опубликования: 18.07.2022
Страница №4 из 6:
Увеличить