Приказ Комитета по охране объектов культурного наследия Курской области от 11.07.2022 № 05.4-08/788
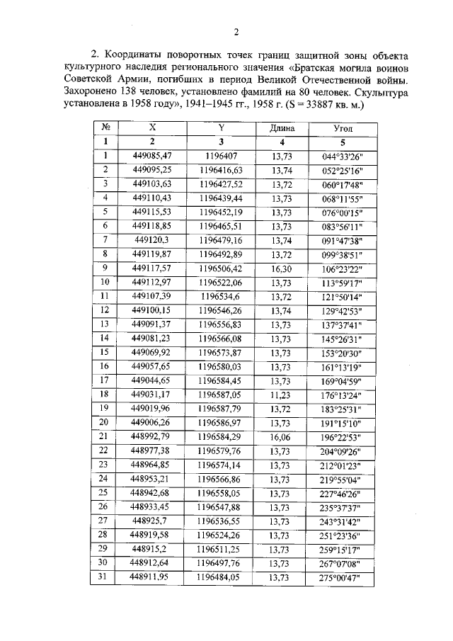
"Об утверждении графического описания местоположения границ защитной зоны объекта культурного наследия регионального значения "Братская могила воинов Советской Армии, погибших в период Великой Отечественной войны. Захоронено 138 человек, установлено фамилий на 80 человек. Скульптура установлена в 1958 году", 1941—1945 гг., 1958 г. (Курская область, Хомутовский район, село Веть)"
"Об утверждении графического описания местоположения границ защитной зоны объекта культурного наследия регионального значения "Братская могила воинов Советской Армии, погибших в период Великой Отечественной войны. Захоронено 138 человек, установлено фамилий на 80 человек. Скульптура установлена в 1958 году", 1941—1945 гг., 1958 г. (Курская область, Хомутовский район, село Веть)"
Номер опубликования: 4601202207150015
Дата опубликования:
15.07.2022
