Приказ Комитета по охране объектов культурного наследия Курской области от 05.07.2022 № 05.4-08/765
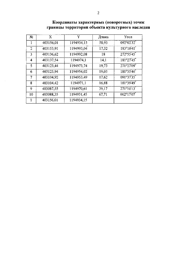
"О включении выявленных объектов культурного наследия "Дом купеческий, кон. ХIХ - нач. ХХ вв.", расположенного по адресу: Курская область, Рыльский район, город Рыльск, Советская площадь, без № (фактический № 13), "Дом жилой, кон. ХIХ - нач. ХХ вв.", расположенного по адресу: Курская область, Рыльский район, город Рыльск, Советская площадь, 15, корпус 1, "Дом жилой, кон. ХIХ - нач. ХХ вв.", расположенного по адресу: Курская область, Рыльский район, город Рыльск, Советская площадь, 15, корпус 3, в единый государственный реестр объектов культурного наследия (памятников истории и культуры) народов Российской Федерации в качестве объекта культурного наследия регионального значения "Ансамбль усадьбы Буромских" и утверждении границ его территории и правового режима использования земельного участка в границах территории"
"О включении выявленных объектов культурного наследия "Дом купеческий, кон. ХIХ - нач. ХХ вв.", расположенного по адресу: Курская область, Рыльский район, город Рыльск, Советская площадь, без № (фактический № 13), "Дом жилой, кон. ХIХ - нач. ХХ вв.", расположенного по адресу: Курская область, Рыльский район, город Рыльск, Советская площадь, 15, корпус 1, "Дом жилой, кон. ХIХ - нач. ХХ вв.", расположенного по адресу: Курская область, Рыльский район, город Рыльск, Советская площадь, 15, корпус 3, в единый государственный реестр объектов культурного наследия (памятников истории и культуры) народов Российской Федерации в качестве объекта культурного наследия регионального значения "Ансамбль усадьбы Буромских" и утверждении границ его территории и правового режима использования земельного участка в границах территории"
Номер опубликования: 4601202207120001
Дата опубликования:
12.07.2022
