Официальное опубликование правовых актов
ОФИЦИАЛЬНОЕ ОПУБЛИКОВАНИЕ
Приказ Комитета по охране объектов культурного наследия Курской области от 28.06.2022 № 05.4-08/756
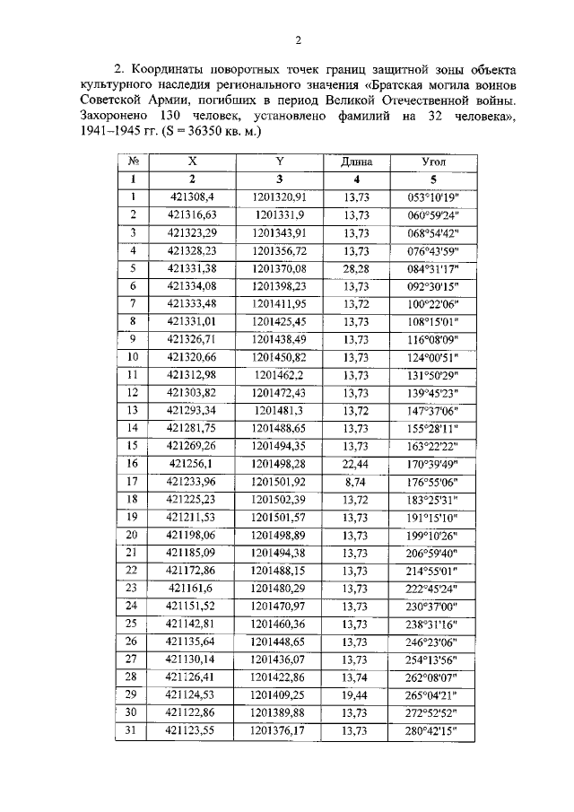
"Об утверждении графического описания местоположения границ защитной зоны объекта культурного наследия регионального значения "Братская могила воинов Советской Армии, погибших в период Великой Отечественной войны. Захоронено 130 человек, установлено фамилий на 32 человека", 1941—1945 гг. (Курская область, Хомутовский район, с. Нижнее Чупахино)"
Номер опубликования: 4601202207040017
Дата опубликования: 04.07.2022
Страница №4 из 6:
Увеличить