Приказ Комитета по охране объектов культурного наследия Курской области от 22.06.2022 № 05.4-08/707
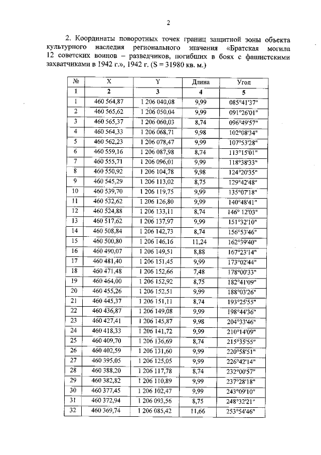
"Об утверждении графического описания местоположения границ защитной зоны объекта культурного наследия регионального значения "Братская могила 12 советских воинов — разведчиков, погибших в боях с фашистскими захватчиками в 1942 г.", 1942 г. (Курская область, Дмитриевский район, Фатеевский лес, в 1,5 км от трассы)"
"Об утверждении графического описания местоположения границ защитной зоны объекта культурного наследия регионального значения "Братская могила 12 советских воинов — разведчиков, погибших в боях с фашистскими захватчиками в 1942 г.", 1942 г. (Курская область, Дмитриевский район, Фатеевский лес, в 1,5 км от трассы)"
Номер опубликования: 4601202206260018
Дата опубликования:
26.06.2022
